Вид общий
Небольшие ноутбуки на стероидах и анаболиках попадают на тестирование крайне редко, ведь класс этот весьма специфический: мощный процессор, малые размеры, слабая видеоподсистема. В основном подобные устройства ориентированы на корпоративное использование и далеко не на младший персонал, так как стоят они весьма недёшево. Активных игроков в этом сегменте немного: HP, Fujitsu и, конечно же, Lenovo. В этот раз на тестирование попал один из ноутбуков Lenovo серии ThinkPad, которая досталась компании в наследство от IBM. Модель x201s отличается от обычной x201 в первую очередь меньшей толщиной, а также большей ценой, но для потенциальных покупателей разница не так уж и критична.
⇡#Технические характеристики, заявленные производителем
| Технические характеристики | |
|---|---|
| ОС | Microsoft Windows 7 Professional |
| Процессор | Intel Core i7-640LM |
| Кеш L2, Кбайт | 256 на ядро |
| Кеш L3, Мбайт | 4 |
| Чипсет | Северный мост: Intel Ironlake-M IMC Южный мост: Intel Ibex-M QM57 |
| Видео | Intel GMA |
| Звук | Conexant Cx20585 |
| Тип матрицы | 12,1 дюйма, 1440x900 точек Toshiba Matsushita LTD121EQ3B |
| ОЗУ | 4 Гбайт DDR3 Samsung M471B5273CH0-CH9 |
| Жёсткий диск | 500 Гбайт Seagate ST9500420AS (Momentus 7200.4) SATA-II, буфер — 16 Мбайт, 7200 об./мин |
| Оптический привод | Нет |
| Интерфейсы | 3 х USB 2.0 1 x ExpressCard 54 1 x D-Sub (VGA) 1 х RJ-45 1 х RJ-11 2 x mini-jack 3,5 мм |
| Беспроводные интерфейсы | Intel Advanced-N 6200 AGN |
| Сетевой адаптер | Intel 82577LM Gigabit Network Connection |
| Батарея | Литий-ионный аккумулятор ёмкостью 63 Вт*ч (расширенный аккумулятор емкостью 72 Вт*ч) |
| Габариты, мм | 295 x 210 x 35.3 |
| Масса, кг | 1,62 |

Информация о процессоре

Информация о видеоподсистеме

Тестирование кеша и памяти
Ноутбук довольно дорогой, но ожидать от него шикарного комплекта поставки не стоит, наоборот, всё вполне скромно: зарядное устройство и инструкция.
Вид общий
Традиционно для серии ThinkPad верхняя кромка матрицы довольно толстая, даже толще края основания, поэтому визуально ноутбук кажется тоньше, чем он есть на самом деле. При беглом осмотре ThinkPad x201s оставляет весьма благоприятное впечатление: вспоминаются старые ноутбуки IBM ThinkPad, которые в своё время были чуть не эталоном добротности.
Вид общий
Нет плавных линий и округлостей, нет глянца — в общем, приятно посмотреть. Но всё же некоторые недостатки есть: немного люфтит крепление аккумулятора, что недопустимо для столь недешёвого ноутбука, панель рабочей области довольно тонкая, поэтому при давлении она легко прогибается. В остальном корпус безупречен, и одного взгляда достаточно, чтобы понять — перед нами ноутбук высокого класса.
Вид спереди
Спереди находится один динамик, смотрящий в пол, слот установки карт памяти и ползунок замка крышки ноутбука.
Вид сзади
Сзади заметна лишь стенка аккумулятора, и хотя свободного места тут ещё довольно много, каких-либо разъёмов или переключателей на задней грани нет.
Вид слева
Левый борт сильно загружен — это вряд ли придется по вкусу левшам. Тут находится разъем питания, вентиляционная решётка с довольно большими ячейками, порт USB, разъем D-Sub (VGA), Ethernet-порт RJ-45, слот установки ExpressCard/54 мм, ползунок включения/отключения беспроводных интерфейсов, а также ещё один USB-порт, дополненный функцией зарядки мобильных устройств при выключенном питании ноутбука.
Вид справа
На первый взгляд справа свободного места даже слишком много и использовано оно нерационально, но при детальном осмотре становиться понятно, что это не совсем так — большую часть правой боковой поверхности занимает стенка съёмного отсека жёсткого диска. Также тут находится разъём замка Кенсингтона, порт RJ-11, пара стандартных аудиоразъёмов и один разъем USB.
Вид снизу
Днище ноутбука плоское, а вентиляционных отверстий довольно много. Пользователю доступен один отсек установки модулей памяти и карт расширений, тут же находится и порт подключения док-станции. Корпус опирается на четыре ножки сложной формы, которые очень плохо цепляются за столешницы, поэтому ноутбук легко скользит как на стекле, так и на лакированном столе. В случае установки усиленного аккумулятора (а именно в такой комплектации был предоставлен тестируемый экземпляр) задняя часть корпуса оказывается немного приподнятой, и ноутбук опирается на ножки аккумулятора, которые также особой цепкостью не отличаются.
Клавиатура
Крышка ноутбука может быть раскрыта на угол более 180 градусов, что весьма удобно. Клавиатура в ThinkPad x201s: клавиши с трапециевидным профилем и никаких отдельных ячеек. Несмотря на малые размеры корпуса, ужатых литерных клавиш нет — все стандартной ширины 18 мм в основании, не пострадала даже [ё] (она же «тильда»), а досталось лишь клавишам-стрелкам, которые уменьшили до размеров 16х11,3 мм, и Windows-клавише, ужатой до 15 мм, что, впрочем, не особо мешает работе. Сама клавиатура почти безупречна: основание прекрасно закреплено и не прогибается даже при очень сильном давлении, ход клавиш чуть жестче вначале, но и дальше вполне приятный, а момент срабатывания прекрасно чувствуется, что в сумме со стандартным размером клавиш превращает работу с клавиатурой в удовольствие. Немного досаждает разве что шум срабатывания клавиш, который мог бы быть и пониже. Тут же есть стандартное замечание — кнопка [Fn] находится на месте [Ctrl], что иногда мешает нажимать привычные комбинации. Если уж совсем сложно привыкнуть к такой раскладке, то в настройках BIOS можно сделать рокировку, и лишь надписи на кнопках будут напоминать об этом недостатке.
Сенсорная панель
Как и положено, ноутбук серии ThinkPad оснащён двумя манипуляторами — сенсорной панелью и мини-джойстиком Point Stick, но первый оборудован двумя клавишами, тогда как второй — тремя. Сенсорная панель совсем крохотная — 61х31 мм, но работать с ней не так и сложно, тем более что на помощь всегда может прийти второй манипулятор. Клавиши обоих манипуляторов очень тихие, а их ход довольно велик и мягок, но момент срабатывания чувствуется неплохо. Чуть правее манипуляторов расположился сенсор чтения отпечатков пальцев.
Клавиатура
Над основной клавиатурой находятся три дополнительные клавиши управления громкостью звука, кнопка питания и привычная продолговатая синяя клавиша ThinkVantage, вызывающая фирменное приложение ThinkVantage Toolbox. На нижней кромке дисплея уместились девять индикаторов-пиктограмм состояния и активности ноутбука, а также встроенный микрофон.
Подсветка клавиатуры
Сверху, над дисплеем, находится лишь лампа подсветки клавиатуры. А вот веб-камеры нет — таковы требования корпоративного рынка, на который и рассчитана данная модель.
Лампа подсветки
В ноутбуке установлена весьма оригинальная и редкая матрица Toshiba Matsushita LTD121EQ3B с матовой поверхностью. Оригинальность её даже не в изготовителе (ведь зачастую производители ноутбуков отдают предпочтение матрицам корейских и китайских марок), а в разрешении, которое составляет 1440х900 точек, что довольно много для диагонали 12,1 дюйма. К сожалению, на сайте производителя в списке моделей данная матрица не представлена. При замере светимости белого поля на максимальной яркости подсветки был получен достаточно скромный результат — 132,1 кд/кв.м, а светимость чёрного поля составила 2,06 кд/кв.м. Контрастностью матрица не блещет.
Равномерность подсветки также хромает, причём на тёмных полях пересвет нижней части заметен невооружённым глазом. Измерения проводились после калибровки дисплея для двух уровней яркости — максимальной и половинной (100% и 50%). На графиках, приведённых ниже, указано отличие яркостей областей от центральной. Разница с центром приведена в процентах.
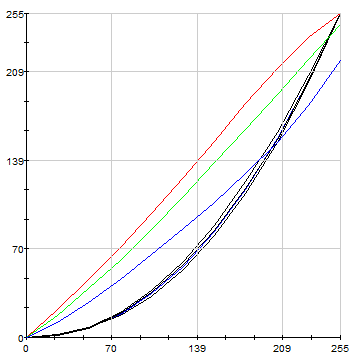
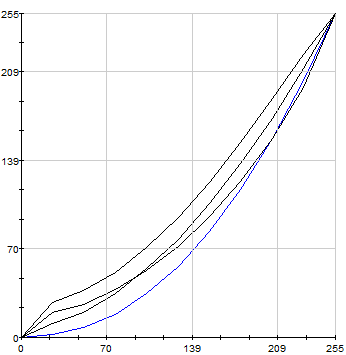
Для оценки цветового охвата использовался колориметр Spyder3 из комплекта Spyder3Studio. График цветового охвата строился для цветовой координатной системы Lab в координатах ab для светлости L=25, 50 и 75. На изображениях зелёная кривая — график цветового охвата дисплея тестируемого ноутбука, белая — стандартное цветовое пространство sRGB. Как видно на графиках, цветовой охват невелик, и даже гораздо более дешёвые модели показывали лучшие результаты.

График цветового охвата в системе Lab для L=25

График цветового охвата в системе Lab для L=50

График цветового охвата в системе Lab для L=75
На иллюстрациях, приведённых ниже, отображены гамма-кривые (чёрные графики), полученные до и после калибровки дисплея, целевая гамма 2,2 (светло-синий график) и коррекция для каждого цвета (красный, синий, зелёный).
![]() |
![]() |
|
Гамма-кривые. До калибровки |
Гамма-кривые. После калибровки с кривыми коррекции |
Также после калибровки была измерена зависимость цветовой температуры от уровня яркости при целевом значении 6500 K.

Зависимость цветовой температуры от уровня яркости подсветки
Как и во многих ноутбуках подобного класса, динамик всего лишь один, и тот крохотный. Он способен только на озвучку действий ОС — ни просмотр фильмов, ни, тем более, воспроизведение музыки ему не под силу. Каких-то явных дефектов вроде скрипов и шипений нет, но всё же ноутбуку крайне необходимы наушники или внешняя акустическая система.
В ThinkPad x201s встроен интегрированный звук Conexant Cx20585. К слову, Lenovo гораздо чаще остальных производителей использует в своих ноутбуках решения Conexant, которые в последнее время начали набирать популярность, отбирая долю у Realtek. Но вернёмся к конкретной модели кодека — о ней нет ни намёка на сайте производителя. Впрочем, такие «секретные» аудиокодеки Conexant в ноутбуках Lenovo — редкость. Найти хоть какие-то характеристики чипа не удалось. Стоит отметить лишь то, что это 4-канальный аудиокодек с поддержкой 24-битного звука и частотой дискретизации до 192 кГц. Тестирование аудиотракта производилось в пакете RightMark Audio Analyzer (далее RMAA) при помощи звукового интерфейса Creative E-MU 0202 USB. Все спецэффекты отключены, настройки эквалайзера выставлены по умолчанию. Перед началом тестирования драйверы аудиокодеков были обновлены до наиболее свежей версии на момент написания материала. В качестве оппонента был выбран мощный малыш от Fujitsu — модель Fujitsu Lifebook S760
Режим работы: 16-бит, 44 кГц.
| Общие результаты | ||||
|---|---|---|---|---|
| Fujitsu Lifebook S760 | Lenovo ThinkPad x201s | |||
| Неравномерность АЧХ (в диапазоне 40 Гц — 15 кГц), дБ | +0,07, -0,38 | Хорошо | +0,02, -0,19 | Очень хорошо |
| Уровень шума, дБ (А) | -90,8 | Очень хорошо | -91,1 | Очень хорошо |
| Динамический диапазон, дБ (А) | 90,8 | Очень хорошо | 91,5 | Очень хорошо |
| Гармонические искажения, % | 0,0032 | Очень хорошо | 0,0017 | Отлично |
| Гармонические искажения + шум, дБ(A) | -75,8 | Средне | -83,9 | Хорошо |
| Интермодуляционные искажения + шум, % | 0,017 | Очень хорошо | 0,0081 | Очень хорошо |
| Взаимопроникновение каналов, дБ | -88,7 | Отлично | -89,9 | Отлично |
| Интермодуляции на 10 кГц, % | 0,016 | Очень хорошо | 0,0080 | Отлично |
| Общая оценка | Очень хорошо | Очень хорошо | ||

| Частотная характеристика | ||||
|---|---|---|---|---|
| Fujitsu Lifebook S760 | Lenovo ThinkPad x201s | |||
| От 20 Гц до 20 кГц, дБ | -1,00, +0,07 | -0,46, +0,02 | ||
| От 40 Гц до 15 кГц, дБ | -0,38, +0,07 | -0,19, +0,02 | ||

| Уровень шума | ||||
|---|---|---|---|---|
| Fujitsu Lifebook S760 | Lenovo ThinkPad x201s | |||
| Левый | Правый | Левый | Правый | |
| Мощность RMS, дБ | -89,8 | -88,9 | -89,9 | -90,1 |
| Мощность RMS, дБ (A) | -91,2 | -90,4 | -91,0 | -91,1 |
| Пиковый уровень, дБ | -75,0 | -75,0 | -77,1 | -75,1 |
| Смещение DC, % | -0,0 | -0,0 | -0,0 | -0,0 |
Кроме стандартного набора беспроводных интерфейсов, состоящего из Wi-Fi-адаптера и Bluetooth v2.1+EDR-модуля, доступен и 3G-модем, что сейчас весьма актуально. Настройка беспроводных сетевых подключений осуществляется не только при помощи средств ОС, но и за счет фирменной утилиты Access Connection, которая позволяет создавать множество профилей подключений.
⇡#Уровень шума и тепловой режим
Ноутбук мощный, но в то же время достаточно тихий, и при невысоких нагрузках его почти не слышно — уровень шума составляет всего 32,0 дБА при измерении в 20 см от центра ближнего к пользователю края. При средних нагрузках уровень шума не изменяется, и только если выжимать из ноутбука все, на что он способен, более трех минут, кулер раскручивается до второй скорости, а уровень шума при этом возрастает до 33,5 дБА. Лишь изредка вентилятор разгоняется до максимума, а уровень шума достигает отметки 34,0 дБА, что сравнительно немного. Ниже приведена сводная диаграмма уровня шума в режиме простоя и в режиме максимальной нагрузки для Fujitsu Lifebook S760, Lenovo ThinkPad x201s и Sony VGN-SR21MR
Измерение уровня шума производилось на расстоянии 20 см от центра передней панели.

Сводная таблица уровня шума в режиме простоя и в режиме максимальной нагрузки
А вот с температурой корпуса не всё так гладко — в некоторых точках он существенно нагревается, хотя работе это особо не мешает. Замеры уровня нагрева корпуса осуществлялись в девяти точках днища и в девяти точках рабочей области после 2 часов простоя и 30-минутного прогона пакета 3DMark 2006, температура окружающей среды в это время составляла +21 градус Цельсия. В зависимости от точки измерения рабочая область разогревалась до 26,2-33,6 градуса, а днище до 27,6-38,4 градуса.

Температурный режим. Днище

Температурный режим. Рабочая область
Небольших и производительных ноутбуков на тестировании у нас побывало совсем немного, ведь этот класс далеко не самый многочисленный, поэтому для сравнения была подобрана всего пара оппонентов — Sony VGN-SR21RM, построенный на базе процессора Intel Core 2 Duo P8400 и видеокарты ATI Radeon HD 3470, а также Fujitsu Lifebook S760, основанный на мощном Intel Core i7-620M с интегрированным видео. Сам герой материала также оснащен процессором семейства Intel Core i7 первого поколения, но с более низким TDP — 25 Вт против 35.
| Fujitsu Lifebook S760 (Windows 7) | Sony VGN-SR21MR (Windows Vista) | Lenovo ThinkPad x201s (Windows 7) | |
|---|---|---|---|
| PCMark05 | - | 5395 | 5605 |
| CPU | 8024 | 5530 | 6859 |
| Memory | 6787 | 4986 | 6015 |
| Graphics | 2797 | 3863 | 2097 |
| HDD | 5255 | 4790 | 5849 |
| System Test | |||
| HDD XP Startup, MB/s | 9 | 8,5 | 10,3 |
| Physics and 3D, FPS | 157,6 | 189,1 | 130,1 |
| 2D Transparent Windows, windows/s | 953,2 | 4416 | 472,8 |
| 3D Pixel Shader, FPS | 94,2 | 87,6 | 67,7 |
| Web Page Rendering, pages/s | 4 | 1,7 | 2,4 |
| File Decryption, MB/s | 87,7 | 63,5 | 77,8 |
| Graphics Memory — 64 lines, FPS | 847,6 | 869,1 | 612,2 |
| HDD — General Usage, MB/s | 5,2 | 5,3 | 7 |
| Audio Compression, KB/s | - | 1579,2 | 2354,5 |
| Video Encoding, KB/s | - | 513,4 | 674,2 |
| Text edit, pages/s | 165,6 | 119 | 143,5 |
| Image Decompression, Mpixel/s | 35,2 | 30,4 | 30,9 |
| File Compression, MB/s | 8,3 | 5 | 7,8 |
| File Encryption, MB/s | 45 | 29,9 | 43,7 |
| HDD — Virus Scan, MB/s | 86,8 | 38,9 | 100,9 |
| Memory Latency — Random 16 MB, MAccesses/s | 12,2 | 9,2 | 10,9 |
| CPU Test | |||
| File Compression, MB/s | 13,8 | 10,2 | 11,6 |
| File Decompression, MB/s | 203,3 | 153,7 | 181,7 |
| File Encryption, MB/s | 88 | 63,3 | 79,3 |
| File Decryption, MB/s | 87,1 | 63,9 | 74,8 |
| Image Decompression, Mpixel/s | 45,7 | 33,2 | 40 |
| Audio Compression, KB/s | 4700 | 3123,3 | 4128,1 |
| Multithreaded Test 1 | |||
| File Compression, MB/s | 11 | 9,5 | 9,7 |
| File Encryption, MB/s | 69,1 | 59 | 65,4 |
| Multithreaded Test 2 | |||
| File Encryption, MB/s | 106,3 | 49 | 90,2 |
| File Decryption, MB/s | 44,6 | 20,5 | 34,7 |
| Audio Decompression, KB/s | 2127 | 2242 | 1467,2 |
| Image Decompression, MPixel/s | 21,8 | 10,6 | 19,4 |
| 3DMark 2006 | Fujitsu Lifebook S760 (Windows 7) | Sony VGN-SR21MR (Windows Vista) | Lenovo ThinkPad x201s (Windows 7) |
|---|---|---|---|
| 3DMark Score, 3DMarks | 1931 | 2492 | 1361 |
| GT1 — Return To Proxycon, FPS | 4,625 | 6,254 | 3,456 |
| GT2 — Firefly Forest, FPS | 5,103 | 7,979 | 3,614 |
| CPU Score, CPUMarks | 2857 | 1991 | 2467 |
| CPU Test 1, FPS | - | 0,63 | 0,782 |
| CPU Test 2, FPS | - | 1,008 | 1,245 |
| Fill Rate (Single-Texturing), MTexels/s | - | 1157,074 | 888,878 |
| Fill Rate (Multi-Texturing), MTexels/s | - | 2664,729 | 2109,949 |
| Pixel Shader, FPS | - | 74,096 | 57,177 |
| Vertex Shader — Simple, MVertices/s | - | 58,533 | 59,443 |
| Vertex Shader — Complex, MVertices/s | - | 33,457 | 22,984 |
Традиционные графики тестирования накопителей в пакете Lavalys EVEREST было решено заменить сравнительной диаграммой, дабы наглядно продемонстрировать разницу в производительности дисковой подсистемы.

Сравнительная диаграмма скорости чтения жёсткого диска
⇡#Источник питания и автономная работа
В ноутбуке установлен довольно мощный аккумулятор ёмкостью 72 Вт*ч. Традиционное испытание проводилось в режимах «Классический» и «Читательский» пакета Battery Eater Pro. В режиме «Классический» ноутбук продержался 132 минуты, что весьма неплохо, учитывая наличие мощного процессора. В режиме «Читательский» при активированном Wi-Fi соединении результат оказался и вовсе отличным — 438 минут, что лишь немного не дотягивает до стандартного 8-часового рабочего дня. Полная зарядка длится 216 минут, но для достижения 85% уровня заряда аккумулятора достаточно половины этого времени. Для контроля и управления энергопотреблением ноутбука используется фирменная утилита Power Manager 3, которая умеет контролировать потребление энергии с точностью до одного ватта и с точностью до минуты отображает время, необходимое для полной зарядки батареи. Утилита позволяет установить один из шести профилей энергопотребления, а также настроить их вручную. Настроек много, но все они завязаны на функционал стандартного управления питанием в Windows, зато красиво оформлены, да и добраться до них гораздо проще.
Для возможности сравнения ниже приведена диаграмма времени автономной работы в режимах «Классический» и «Читательский» для следующих мобильных ПК:

Сводная диаграмма времени автономной работы в режимах «Классический» и «Читательский»
Дополним это сравнительной диаграммой, демонстрирующей потребление энергии в режимах «Классический» и «Читательский» пакета Battery Eater Pro.

Сводная диаграмма энергопотребления в режимах «Классический» и «Читательский»
В целом ноутбук хорош — качественная сборка, его приятно держать в руках, на него приятно посмотреть, он мощный и может долго работать вдали от розетки. Но есть у Lenovo ThinkPad x201s и несколько существенных минусов — это люфт крепления аккумулятора, невысокая максимальная яркость и неравномерная подсветка дисплея, достаточно сильный нагрев в некоторых точках корпуса, а также довольно высокая стоимость.
Благодарим украинское представительство Lenovo за предоставленное для тестирования оборудование.
А также компанию Графитек (г. Москва) за предоставленный комплект колориметров Spyder3Studio.