Рассмотрим такую ситуацию: нужен недорогой ноутбук с пишущим DVD и матовым дисплеем, без марких глянцевых корпусных панелей, оборудованный клавиатурой с цифровым блоком клавиш, а главное, максимально доступный — допустим, до 14 тысяч рублей. Это, в общем, вполне стандартные требования для обычной «офисной лошадки». Тем удивительнее, что при внимательном рассмотрении подобные рамки отсевают значительную часть моделей бюджетных ноутбуков.
Мы поставили перед собой упомянутую задачу и после перебора нескольких подходящих на первый взгляд моделей остановились на паре HP ProBook 4545s и ProBook 4540s. Правда, впоследствии оказалось, что упомянутая выше цена была обусловлена кратковременной распродажей, а нормальный уровень цен на эти модели примерно на 2 000—3 000 рублей выше. Тем не менее, даже за такие деньги эти ноутбуки достаточно интересны, поэтому рассмотрим их более подробно. А заодно попробуем ответить на еще один насущный вопрос: на какой из данных двух моделей стоит остановить выбор? Первая из них основана на платформе AMD, вторая — на Intel.
⇡# Внешний вид и удобство использования
Начать следует с того, что дизайн моделей ProBook 4545s и ProBook 4540s абсолютно идентичен. Если с корпуса удалить наклейки производителей процессоров, то два ноутбука не различить. Причем дизайн не из дешевых. И вот в чем тут дело — при создании корпуса ноутбуков этого семейства перед конструкторами и маркетологами стояла непростая задача: необходимо было создать дизайн, ориентированный на бизнес-пользователя, причем достаточно универсальный: ведь диапазон конфигураций и, как следствие, цен для этого шасси весьма велик — от 500 до 1000 долларов. То есть от откровенно бюджетного решения до верхнего края среднего ценового диапазона.
Если создать корпус попроще, можно заведомо провалить продажи топовых модификаций, если же сделать дизайн дорогим, то высокая себестоимость может существенно снизить прибыль от продажи недорогих конфигураций. Можно сделать несколько вариаций на тему одного дизайна — но отсутствие унификации тоже повышает себестоимость, так что это не лучший вариант для массовой модели. Итоговый компромисс, как и в случае модели HP Envy 6, в большей степени выгоден покупателям бюджетных модификаций: за свои деньги они получат больше, чем могли рассчитывать.
Алюминиевая крышка и панель рабочей области с имитацией грубой обработки нам знакомы еще по первым поколениям ProBook. Но в данном случае корпус светлый, что хорошо по двум причинам. Во-первых, так он больше похож на дорогие «Элитбуки». А во-вторых, светлый фон гораздо лучше темного скрывает отпечатки на панелях.
Бока корпуса скошены, благодаря чему ноутбук кажется тоньше, чем он есть на самом деле. Подкрепляет это ощущение двухцветное оформление: верхняя часть светлая, а нижняя, скошенная — черная. Качество сборки очень высокое, и если для дорогих решений это должно быть нормой, то в случае попавших к нам на тестирование бюджетных модификаций это такой приятный бонус, вытекающий из унификации.
Корпус прочный, он обладает высокой жёсткостью на кручение, поэтому даже при приложении очень больших усилий лишь едва заметно поддаётся, а поскрипывает только крышка привода оптических дисков. В общем, на первый взгляд устройство весьма добротное. Замечание к корпусу лишь одно, точнее даже не к самому корпусу, а к эргономике, — из-за скошенных боковых поверхностей подключать источник внешнего питания не очень удобно. Впрочем, с другими разъемами проблем нет.
Рабочая область уже вполне привычна — клавиатура островного типа, дополнительный цифровой блок, встроенный в клавишу Caps Lock индикатор, парочка дополнительных клавиш (управление беспроводными интерфейсами и вызов браузера, установленного по умолчанию). С глянцевой подложкой клавиатуры конструкторы «Пробуков» перестали играться, не стали возвращаться к марким материалам и в новой модели.
Сама по себе клавиатура претендует на звание эталона, причём хороша она не только по меркам бюджетных решений — даже по сравнению с более дорогими моделями у нее практически нет недостатков. Придраться можно только к ужатой по ширине клавише [~] (она же [ё]), а также к уменьшенным вдвое по высоте клавишам-стрелкам «вверх» и «вниз». В остальном одни плюсы — основание хорошо закреплено, поэтому даже при очень сильном давлении на любую из кнопок оно не прогибается, механизм клавиш хорош. Кроме того, клавиатура влагозащищенная — выдерживает небольшое количество пролитой на нее жидкости. Данная особенность не то чтобы стандартна и в дорогих моделях, а уж для бюджетных ноутбуков и вовсе в диковинку.
Под дополнительным блоком цифровых клавиш в более дорогих модификациях находится дактилоскопический датчик (сенсор считывания отпечатков пальцев), но в бюджетных модификациях на его месте стоит заглушка. Конечно, без дырки с заглушкой ноутбук смотрелся бы лучше. Но не стоит забывать, что протестированные конфигурации откровенно бюджетные, и создание для них отдельной пресс-формы было бы совсем уж непозволительной роскошью. Хватит и того, что им практически «на халяву» достался дорогой корпус. Сенсорная панель слегка утоплена в корпус. Она достаточно велика: размеры панели составляют 92х52 мм. Вопреки моде, клавиши не виртуальные, а вполне себе физические — отдельные прямоугольники размером 45х13,5 мм каждый. Ход клавиш тихий, но слишком мягкий, момент срабатывания размазан, поэтому для надёжности приходится дожимать до упора.
Спереди находится крохотный индикатор обращения к жёсткому диску, устройство чтения карт памяти, закрытое заглушкой в цвет корпуса, а также пара стандартных аудиоразъёмов. С тыльной стороны практически всю доступную поверхность занимает аккумулятор.
Слева расположены разъем питания с индикатором, вентиляционная решётка, оба видеовыхода — HDMI и VGA, сетевой разъём RJ-45, а также пара портов USB 3.0.
На правой стороне пустого места тоже немного: большую ее часть занимает оптический привод. Помимо него, на этом боку расположена пара портов USB 2.0.
Днище ноутбука плоское, что положительно сказывается на отводе тепла, но вентиляционных отверстий тут немного, к тому же внутри они покрыты защитной сеткой, которая дополнительно ограничивает приток воздуха. Впрочем, у более ранних поколений «Пробуков» вентиляционных решёток на днище вообще не было, так что и это неплохо. Собственно, как показали наши тесты, нагрев корпуса обеих моделей довольно небольшой — волноваться не о чем.
Резиновые ножки прямоугольной формы имеют большую площадь пятна контакта со столешницей, что теоретически должно обеспечивать хорошую фиксацию корпуса. К сожалению, почему-то это не помогает: ноутбук скользит по поверхности как на коньках, причём как на обычном офисном столе, так и на лакированной или стеклянной столешнице. Судя по всему, ножки изготовлены из не самого удачного материала.
| Модель | HP ProBook 4540s (B6N80EA) | HP ProBook 4545s (B6M13EA) |
|---|---|---|
| Экран | 15,6 дюйма, 1366x768; технология TN, LED-подсветка (Samsung SEC325A); матовое покрытие |
15,6 дюйма, 1366x768; технология TN, LED-подсветка (LG LP156WH3); матовое покрытие |
| Процессор | Intel Celeron B840: 1,9 ГГц; 2x256 Кбайт L2; 2 Мбайт L3; два вычислительных ядра; TDP 35 Вт | AMD A4-4300M: 2,5 (3,0) ГГц; 2x256 Кбайт L2; 1 Мбайт L2; два вычислительных ядра; TDP 35 Вт |
| Графика | Intel HD 2000, встроен в процессор | AMD Radeon HD7420G, встроен в процессор |
| Набор микросхем | Intel HM76 | AMD A70M |
| Оперативная память | 2 Гбайт, DDR3-1333 (два разъема расширения) | 4 Гбайт, DDR3-1600 (два разъема расширения) |
| Жесткий диск | HDD 320 Гбайт, 7200 об/мин (Toshiba MK3261GSYN) | HDD 320 Гбайт, 7200 об/мин (Seagate ST320LT0 07-9ZV142) |
| Оптический привод | DVD-RW (Hitachi — LG GT50N) |
DVD-RW (Toshiba — Samsung SN-208BB) |
| Разъем флеш-карт | SD/MMC/MS/MS Pro | |
| Интерфейсы | 2 х USB 3.0 2 х USB 2.0 1 x HDMI 1 x VGA (D-Sub) 1 x RJ-45 1 x аудиовыход (mini-jack 3,5 мм) 1 x аудиовход (mini-jack 3,5 мм) |
|
| 3G | Нет | |
| Wi-Fi | 802.11b/g/n, 1x1, 2,4 ГГц (Atheros AR9485WB-EG) | 802.11b/g/n, 1x1, 2,4 ГГц (Broadcom BCM4313GN) |
| Bluetooth | 4.0 | |
| Сетевой адаптер | 10/100/1000 Мбит/с (Realtek RTL8168/8111) | |
| Звук | IDT 92HD87B2/4 два динамика, два микрофона |
|
| Батарея | Съемная, из 6 цилиндрических элементов Емкость 47 Вт*ч (10,8 В; 4400 мА*ч) |
|
| Заявленные размеры | 375x256x35 мм | |
| Заявленная масса | От 2,33 кг (без учета оптического привода) | |
| Операционная система | SUSE Linux Enterprise Desktop 11 | |
| Гарантия | 12 месяцев | |
| Цена | От 17 000 руб. | От 16 500 руб. |
Модель на платформе Intel комплектуется процессором Celeron B840. Этот процессор основан на архитектуре прошлого поколения, Sandy Bridge. Так что это не «то же самое, что и старшие ЦП, но обрезанное по частотам». Это изначально более медленная и менее энергоэффективная архитектура.
HP ProBook 4540s, основанный на платформе Intel

В отличие от «Селерона», чип A4-3400M принадлежит к новейшей линейке компании. И это серьезно увеличивает шансы платформы AMD на победу — современной архитектуре «зеленых» будет, очевидно, куда проще тягаться с несколько устаревшей разработкой «голубых».
HP ProBook 4545s, основанный на платформе AMD

Основные особенности дисплеев HP ProBook 4540s и 4545s одинаковы: диагональ 15,6 дюйма, разрешение 1366х768 и матовое покрытие. Можно было бы ожидать, что и матрицы будут одинаковые, однако это совсем не так. В 4540s установлена неопознанная матрица Samsung, а в модели 4545s использован дисплей другого корейского производителя, LG LP156WH3.
Что любопытно, характеристики этих матриц далеко не идентичны. Экран ProBook 4540s (Samsung) заметно ярче дисплея ProBook 4545s (LG): средняя светимость белого поля составляет 221,6 против 179,2 кд/м2. Однако у матрицы Samsung и светимость черного поля гораздо выше: 3,5 против 2,31 кд/м2. Так что контрастность дисплея HP ProBook 4540s чрезвычайно низкая, всего лишь 63:1. HP ProBook 4545s и LG в этом отношении впереди — 78:1. Тоже не особенно хороший результат, но все-таки немного лучше.
Измерения равномерности подсветки проводились после калибровки дисплея для двух уровней яркости — максимальной и половинной (100% и 50%).
Матрица Samsung: равномерность яркости при уровне подсветки 100% и 50%
Матрица LG: равномерность яркости при уровне подсветки 100% и 50%
Цветовой охват дисплея LG оказался чуть-чуть шире: 74% от sRGB, тогда как у дисплея Samsung охват составляет 70% sRGB.
График цветового охвата в системе Lab. Желтая линия — цветовой охват дисплея Samsung; зеленая – цветовой охват дисплея LG; белая — стандартное цветовое пространство sRGB

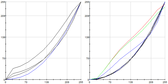
Гамма-кривые (чёрные графики), полученные до и после калибровки дисплея Samsung, целевая гамма 2,2 (светло-синий график) и коррекция для каждого цвета (красный, синий, зелёный)

Гамма-кривые (чёрные графики), полученные до и после калибровки дисплея LG, целевая гамма 2,2 (светло-синий график) и коррекция для каждого цвета (красный, синий, зелёный)
Цветовая температура в обоих случаях быстро растет при понижении яркости оттенка серого, однако дисплей LG в этом отношении чуть лучше — рост не столь бурный, как в случае матрицы Samsung.

Матрица Samsung: цветовая температура градаций серого

Матрица LG: цветовая температура градаций серого
По равномерности цветопередачи дисплеи сравнимы.
Матрица Samsung: равномерность цветопередачи при уровне подсветки 100% и 50%
Матрица LG: равномерность цветопередачи при уровне подсветки 100% и 50%
С точностью цветопередачи у обоих дисплеев имеются проблемы. Но есть разница: в случае матрицы LG это «просто проблемы», а в случае Samsung — «чудовищные проблемы». Иными словами, среднее значение дельта Е различается в два с лишним раза: 1,79 и 4,1 соответственно.
Точность цветопередачи дисплеев Samsung (слева) и LG (справа)
Следует отметить, что четкой привязки матрицы к модели ноутбука нет: в ProBook 4545s с легкостью можно встретить дисплей Samsung, а в ProBook 4540s — матрицу LG. Более того, есть еще и третий поставщик: в приобретенном уже после тестирования экземпляре HP ProBook 4545s мы встретили матрицу Chi Mei Innolux N156B6-L0A.
Беглый тест показал весьма неплохие результаты: максимальная яркость 196,2 кд/м2, минимальная — 2,29 кд/м2 (контрастность, таким образом, достигает 90:1), цветовой охват составляет 81% от sRGB. То есть результаты лучше, чем у матриц Samsung и LG. Дисплей от Chi Mei немного проигрывает матрице LG по точности передачи цветов, но всё же заметно обходит матрицу Samsung, которая показала в этом тесте совсем слабые результаты.
⇡# Тестирование: звуковая подсистема
Встроенные динамики большинства бюджетных ноутбуков в лучшем случае годятся для озвучивания действий ОС, не более. Некоторое время назад, дабы акцентировать внимание на встроенных динамиках, на ноутбуках HP активно ставили лейбл Altec Lansing, что вроде бы подтверждало высокое качество звучания интегрированного в корпус решения. Но дошло до того, что логотип Altec Lansing рисовали даже на весьма заурядных моделях, включая нетбуки, с отвратительным качеством звучания встроенных динамиков.
Поэтому постепенно бренд Altec Lansing применительно к ноутбукам HP использовать перестали. После этого звание придворного тюнера звука ноутбуков HP перешло к Beats Audio: сначала логотип Beats красовался лишь на самых дорогих ноутбуках, потом появился в моделях среднего уровня. В компании учли предыдущую ошибку и совсем размывать новый бренд не стали — в наиболее доступных моделях вы его не увидите.
Так что в данном случае динамики безымянные. Однако, несмотря на отсутствие лейблов, звук удивительно хорош — причем не только «по меркам данной ценовой категории». Он просто хорош, без всяких скидок, даже если сравнивать с заведомо более дорогими ноутбуками: звучание громкое, чёткое, без каких-либо дефектов, хорошо ощутим ВЧ-диапазон и даже басы какие-никакие есть.
Программная надстройка SRS Premium Audio существенно улучшает звучание встроенных динамиков. Конечно, при использовании наушников или внешней акустической системы данную надстройку лучше отключать, но при прослушивании с помощью встроенных динамиков SRS Premium Audio ощутимо повышает детализацию звука в режиме «Музыка», да и ВЧ-диапазон кажется более насыщенным.
Звуковой тракт обоих ноутбуков основан на одном и том же интегрированном решении IDT 92HD87B2/4, которое очень часто встречается в ноутбуках производства HP. Хотя интегрированный звук идентичен, «обвязка» у ноутбуков разная. Поэтому результаты тестирования не совсем идентичны: HP ProBook 4540s немного лучше своего родственника, хотя выигрыш и не слишком велик.
Тестирование аудиотракта проводилось при помощи тестового пакета RMAA и звукового интерфейса Creative E-MU 0202 USB.
Режим работы: 16-бит, 44 кГц.
| HP ProBook 4540s | HP ProBook 4545s | |||
|---|---|---|---|---|
| Неравномерность АЧХ (в диапазоне 40 Гц — 15 кГц), дБ | +0,03, -0,09 | Отлично | +0,03, -0,12 | Отлично |
| Уровень шума, дБ (А) | -95,9 | Отлично | -91,9 | Очень хорошо |
| Динамический диапазон, дБ (А) | 95,7 | Отлично | 91,8 | Очень хорошо |
| Гармонические искажения, % | 0,0065 | Очень хорошо | 0,008 | Очень хорошо |
| Гармонические искажения + шум, дБ(A) | -80,5 | Хорошо | -79,2 | Средне |
| Интермодуляционные искажения + шум, % | 0,0084 | Очень хорошо | 0,01 | Очень хорошо |
| Взаимопроникновение каналов, дБ | -87,9 | Отлично | -87,8 | Отлично |
| Интермодуляции на 10 кГц, % | 0,033 | Хорошо | 0,026 | Хорошо |
| Общая оценка | Очень хорошо | Очень хорошо | ||
| HP ProBook 4540s | HP ProBook 4545s | |
|---|---|---|
| От 20 Гц до 20 кГц, дБ | -0,59, +0,03 | -0,64, +0,03 |
| От 40 Гц до 15 кГц, дБ | -0,09, +0,03 | -0,12, +0,03 |

| HP ProBook 4540s | HP ProBook 4545s | |||
|---|---|---|---|---|
| Левый | Правый | Левый | Правый | |
| Мощность RMS, дБ | -94,6 | -94,3 | -91,5 | -91,5 |
| Мощность RMS, дБ (A) | -95,8 | -95,9 | -91,8 | -92,1 |
| Пиковый уровень, дБ | -80,7 | -79,4 | -78,1 | -77,6 |
| Смещение DC, % | 0 | 0 | 0 | 0 |

⇡# Тестирование: уровень шума и тепловой режим
Редко какой ноутбук может порадовать тихой охлаждающей системой, причём независимо от того, какой процессор установлен, но оба тестируемых ноутбука приятно удивили. В обычном тестовом режим вентиляторы обеих моделей работали на одной-единственной скорости, при которой уровень шума в случае 4545s составлял 34,5 дБА, а в случае 4540s — 34,6 дБА (отличие можно списать на погрешность измерений).
Вроде бы уровень шума не так уж и мал для режима простоя, но зато даже длительная работа под высокой нагрузкой не заставляет вентиляторы повышать обороты. После часового цикла запуска суровых бенчмарков было решено дополнительно провести стресс-тест — одновременный запуск WinRar в режиме теста быстродействия и надёжности, а также Furmark в тяжёлом режиме теста стабильности. Но даже такая нагрузка не заставила вентиляторы разогнаться выше первой скорости, и уровень шума остался прежним.
Подобный алгоритм встречается крайне редко, причём зачастую от этого страдает тепловой режим, поэтому первым делом было решено проверить не температуру корпуса, что является наиболее важным температурным показателем для ноутбука, а температуру компонентов. Но тут нас снова ожидал сюрприз. В модели 4545s процессор AMD A4-4300M разогрелся за час стресс-теста всего до 58 градусов, а процессор Intel Celeron B840 до 69 градусов, что для столь высокой и длительной нагрузки не так уж и много.
Раскрутить вентилятор до второй скорости удалось, только подняв температуру воздуха в помещении до 28 градусов, разумеется, при высокой нагрузке на систему. Но даже в этом случае уровень шума поднялся незначительно — до 35,7 дБА, что в офисном помещении практически незаметно.
Порадовал и невысокий нагрев корпуса. В зависимости от точки измерения рабочая область 4545s разогревалась до 24–31 градуса, а днище до 23–31 градуса. 4540s грелся практически так же, но всё же чуть меньше: рабочая область до 23–30 градусов, а днище до 23–31 градуса. В общем, в плане шума вентиляционной системы и нагрева корпуса модели на платформах Intel и AMD показывают почти одинаковые результаты.
⇡# Тестирование: производительность
По части производительности непосредственно процессорных ядер чипы Intel Celeron B840 и AMD A4-4300M оказались почти идентичными. Устаревшая архитектура и заниженные частоты «Селерона» дают младшему процессору AMD солидную фору — в которой он очень даже нуждается из-за ряда особенностей архитектуры Bulldozer/Piledriver.

| HP ProBook 4540s | HP ProBook 4545s | |
|---|---|---|
| PCMark05 | 5094 | 5141 |
| CPU | 5164 | 5328 |
| Memory | 4489 | 4707 |
| Graphics | 2612 | 4812 |
| HDD | 6799 | 5854 |

| PCMark 7 | HP ProBook 4540s | HP ProBook 4545s |
|---|---|---|
| PCMark Score | 1758 | 1746 |
| Lightweight | 1653 | 1662 |
| Productivity | 1157 | 1282 |
| Creativity | 2042 | 2000 |
| Entertainment | 1517 | 1482 |
| Computation | 2440 | 1637 |
| System storage | 1673 | 1737 |
А вот в графических задачах победителем однозначно является чип AMD.

| 3DMark 2006 | HP ProBook 4540s | HP ProBook 4545s |
|---|---|---|
| 3DMark Score, 3DMarks | 2861 | 4074 |
| GT1 — Return To Proxycon, FPS | 7,336 | 11,469 |
| GT2 — Firefly Forest, FPS | 8,43 | 12,463 |
| CPU Score, CPUMarks | 1932 | 1706 |
| CPU Test 1, FPS | 0,608 | 0,54 |
| CPU Test 2, FPS | 0,981 | 0,863 |
| Fill Rate (Single-Texturing), MTexels/s | 1114,973 | 1387,729 |
| Fill Rate (Multi-Texturing), MTexels/s | 1926,462 | 5132,867 |
| Pixel Shader, FPS | 99,7 | 181,645 |
| Vertex Shader — Simple, MVertices/s | 149,402 | 220,266 |
| Vertex Shader — Complex, MVertices/s | 48,816 | 43,97 |
HP ProBook 4545s оказался способным обеспечить весьма приемлемый FPS в современных играх. Например, в S.T.A.L.K.E.R.: CoP при родном разрешении матрицы, средних настройках качества и статичном освещении количество FPS не падало ниже 24, а в среднем в зависимости от погодных условий колебалось от 51 до 78 кадров в секунду. В общем, пробежать пару уровней в любимую игру можно хотя бы при базовых настройках качества. А вот HP ProBook 4540s на базе Celeron B840 это не по силам, впрочем, иного от интегрированной в процессор графики Intel HD 2000 ожидать и не стоило.
⇡# Тестирование: время автономной работы
В HP ProBook 4540s и 4545s использованы одинаковые съемные аккумуляторы, построенные на цилиндрических элементах питания. Емкость батареи в обоих случаях составляет 47 Вт*ч. Не очень много, но для настолько недорогих ноутбуков — вполне нормально. В режиме "чтения" версия на платформе AMD способна прожить ощутимо дольше, особенно при минимальном уровне подсветки, но достаточно даже малейшей нагрузки, чтобы она уступила первенство.

Сразу стоит отметить, что оба ноутбука нам понравились, причём это один из тех редких случаев, когда покупка ультрабюджетного решения оправдывается не только фразой «зато дешевле картошки». Плюсов у устройств масса: это стильный корпус с металлической отделкой и весьма неплохой дисплей (за исключением ноутбуков с матрицей Samsung — обязательно проверяйте при покупке модель матрицы); достойное качество звучания встроенных динамиков и хороший звук на аналоговом аудиовыходе; малый нагрев корпуса и очень низкий уровень шума с совершенным алгоритмом работы кулера, достаточно длительная автономная работа и неплохая производительность.
Разница между двумя вариантами по большому счету только в том, что платформа AMD даже в своем наиболее бюджетном варианте обеспечивает более высокую производительность графической системы. Так что за те же деньги вы получите возможность не только работать в офисе и смотреть фильмы, но и играть в сравнительно современные игры с не самым низким уровнем качества.
Покупать эту модель с процессором Intel имеет смысл лишь в более дорогих конфигурациях, с Core i3 или скорее даже Core i5 — достойной альтернативы последнему у AMD просто нет. Поэтому по результатам сравнения награду «Выбор редакции» получает именно HP ProBook 4545s, основанный на платформе AMD. HP ProBook 4545s нам настолько понравился, что после тестирования точно такой же был приобретен в личное пользование. Это действительно наш выбор: не только «на бумаге», но и на деле.
Из путаницы с нормальными и распродажными ценами на протестированные ноутбуки HP можно сделать еще один интересный вывод. Однозначного лидера среди бюджетных ноутбуков при торговле по рекомендованным ценам определить категорически непросто —быстро запутаетесь в незначительных нюансах. Однако во время распродажи все проще: действительно интересным предложением в этом не слишком ярком сегменте рынка становится та модель более высокого уровня, на которую в данный момент есть наиболее существенные скидки — как это и было в данном случае. Поэтому мораль проста: если есть возможность не спешить с покупкой - ждите распродаж. Они сейчас бывают действительно щедрыми и происходят достаточно регулярно.
Редакция 3DNews благодарит компанию «Графитек» за предоставленный в распоряжение нашей лаборатории измерительный комплекс Spyder4Elite и украинское представительство HP за предоставленные ноутбуки HP ProBook 4540s и ProBook 4545s.