Сегодня 30 октября 2025
18+
MWC 2018 2018 Computex IFA 2018
реклама
Ноутбуки и ПК

Обзор Apple MacBook (Early 2016): ноутбук или планшет — нелегкий выбор

⇣ Содержание

В прошлом году мы выпустили подробный обзор 12-дюймового MacBook с экраном Retina — на тот момент он был свежим дополнением к линейке продуктов Apple. Благодаря появлению процессоров Intel Core M, которые распространили архитектуру Core на сегмент ультраэкономичных с точки зрения энергопотребления систем на чипе, Apple удалось создать ноутбук, по сценарию использования близкий к планшетным ПК. При массе меньше 1 кг и пассивном охлаждении компонентов MacBook можно носить с собой постоянно и работать на одном заряде аккумулятора весь день (при условии, что рабочие задачи не требуют постоянной полной нагрузки системы). При этом на компьютере установлена полноценная десктопная ОС, а производительности достаточно для стандартных офисных приложений. Другая сторона медали — вынужденный компромисс в плане подключения различной периферии, так как в тонком корпусе нет места для каких-либо разъемов, помимо единственного USB Type-C и 3,5-мм mini jack для акустики или гарнитуры.

За прошедший год в экосистеме Apple произошли изменения, которые влияют на позицию 12-дюймового «Макбука». Компания создала iPad, который претендует на звание полноценной рабочей машины, а не просто устройства для потребления контента. Обе версии iPad Pro — как с 12,9-дюймовым, так и c 9,7-дюймовым экраном — благодаря съемной клавиатуре способны заменить компактный ноутбук настолько, насколько это позволяет программное обеспечение для iOS. Кроме того, Apple оснащает планшеты экранами более высокого уровня, нежели те, которые используются в ноутбуках компании. В особенности это касается 9,7-дюймового экрана в iPad Pro, обладающего расширенным цветовым охватом DCI-P3 и цветокоррекцией с учетом фонового освещения. Да и качество работы с пером Apple Pencil впечатляет.

В итоге 12-дюймовый MacBook и iPad Pro оказались очень близки по своему назначению. Кроме того, MacBook Air не увидел обновления в этом году, и мы можем предположить, что жизнь этого семейства подходит к концу. Для покупателя это означает, что если раньше выбор компактного устройства Apple для задач, выходящих за пределы мультимедийных, Интернета и обмена сообщениями, сводился к Air или новому MacBook с «ретиной», то сейчас на роль альтернативы претендует iPad Pro.

В этом обзоре мы собираемся еще раз взглянуть на 12-дюймовый MacBook, теперь в обновленной конфигурации 2016 года, и сравнить его производительность с тем, что предлагает iPad Pro. Кроме того, эта модель первой из «Макбуков» получила процессор Intel поколения Skylake, в то время как остальные «Маки» ожидают перехода с Broadwell, а MacBook Pro с 15,4-дюймовым экраном и вовсе до сих пор комплектуется Haswell. Это потенциально позволит сократить тот разрыв в производительности между MacBook с «Ретиной» и MacBook Air, который мы наблюдали год назад.

#Технические характеристики, цены

Все изменения в конфигурации MacBook по сравнению с прошлогодней моделью связаны с переходом от ядра Broadwell-Y к Skylake-Y. Существуют две конфигурации ноутбука, различающиеся версией CPU (Core m3 либо m5) и объемом SSD (256 либо 512 Гбайт), плюс возможность выбрать наиболее быстрый Core m7 для обеих из них. Процессоры по-прежнему имеют стандартный TDP 4,5 Вт, но Apple использует возможность конфигурации TDP вплоть до 7 Вт, что позволило установить повышенные на 100-200 МГц базовые частоты и увеличить пространство для их кратковременных скачков.

Если сравнивать с MacBook 2015 года, то предельные частоты двух младших версий были понижены на 100-200 МГц, а у старшей — наоборот, повышены. OS X поколения El Capitan научилась использовать Speed Shift в процессорах Skylake, о чем нигде не было сказано официально, но индикаторы поддержки этой технологии были найдены в ядре ОС версий 10.11.4 и 10.11.5. Суть Speed Shift: ОС полностью отдает процессору контроль над переключением между состояниями частоты и питающего напряжения, что позволяет менять их с меньшей латентностью (1 мс вместо 20-30 мс) и более точными градациями.

По данным Intel, при включенной Speed Shift процессор достигает пиковой частоты из энергосберегающего состояния за 35 мс, в то время как ОС на это потребовалось бы 100 мс. Низкая латентность в данном случае используется для того, чтобы быстро выполнить работу при высоких значениях частоты с напряжением и продолжить сохранять энергию, что весьма критично для мобильных устройств.

Интегрированный в Core m3 и m5 GPU Intel HD Graphics 515 по количеству вычислительных блоков и предельным частотам (850 и 900 МГц соответственно) не отличается от HD Graphics 5300 в составе Broadwell-Y, однако Core m7 позволяет графическому ядру разгоняться до 1 ГГц.

Кроме того, Skylake-Y наделил MacBook оперативной памятью LPDDR3 SDRAM с эффективной частотой 1866 МГц, что в первую очередь должно сказаться на быстродействии графики. К слову, графика Skylake обладает наиболее полной поддержкой новых возможностей рендеринга в DirectX 12 среди всех современных архитектур, а SoC приобрел функцию аппаратного декодирования видео форматов H.265 и VP9.

Чипсет PCH-LP, расположенный на одной подложке с кристаллом процессора, дает 10 линий PCI-Express для подключения дискретных устройств. Переход к стандарту PCIe 3.0 в Skylake позволил использовать в MacBook новую версию SSD, которая, по всей видимости, представляет следующее поколение контроллера, созданного Apple и работающего по протоколу NVMe.

Помимо вышеперечисленного, Skylake обладает производительностью, повышенной на такт по сравнению с Broadwell, а также рядом оптимизаций, направленных на дальнейшее снижение энергопотребления. Их анализ вы можете найти в нашем обзоре данной архитектуры. Что касается конфигурации MacBook, то единственное усовершенствование, о котором мы еще не упомянули, относится к емкости батареи, увеличенной с 39,7 до 41,4 Вт.

Цена на базовую конфигурацию MacBook осталась прежней — $1 299 в США (106 990 руб. в российском Apple Store), в то время как максимальная комплектация подешевела на $100 ($1 649). В России Apple не позволяет заказать версию с Core m7, поэтому лучшая из доступных моделей обойдется вам в 129 990 руб ($1 599).

ПроизводительApple
Модель Apple MacBook, Early 2015 Apple MacBook, Early 2016
Модельный номер MF855**/A, MJY32**/A, MK4M2**/A MF865**/A, MJY42**/A, MK4N2**/A MLH72**/A, MLHA2**/A, MLHE2**/A, MMGL2**/A MLH82**/A, MLHC2**/A, MLHF2**/A, MMGM2**/A
Дисплей 12 дюймов, 2304 × 1440, IPS 12 дюймов, 2304 × 1440, IPS
CPU Intel Core M-5Y31 (2 ядра, 1,1–2,4 ГГц) / Intel Core M-5Y71 (2 ядра, 1,3–2,9 ГГц) Intel Core M-5Y51 (2 ядра, 1,2–2,6 ГГц) / Intel Core M-5Y71 (2 ядра, 1,3–2,9 ГГц) Intel Core m3-6Y30 (2 ядра, 1,1–2,2 ГГц) / Intel Core m7-6Y75 (2 ядра, 1,3–3,1 ГГц) Intel Core m5-6Y54 (2 ядра, 1,2–2,7 ГГц) / Intel Core m7-6Y75 (2 ядра, 1,3–3,1 ГГц)
Чипсет PCH-LP на подложке CPU PCH-LP на подложке CPU
Оперативная память LPDDR3 SDRAM, 1600 МГц, 8 Гбайт LPDDR3 SDRAM, 1866 МГц, 8 Гбайт
GPU Intel HD Graphics 5300 Intel HD Graphics 515
Накопитель PCIe 2.0 x4 SSD, 256 Гбайт (AP0256H) PCIe 2.0 x4 SSD, 512 Гбайт (AP0512H) PCIe 3.0 x2 SSD, 256 Гбайт (AP0256J) PCIe 3.0 x2 SSD, 512 Гбайт (AP0512J)
Порты ввода-вывода 1 × USB 3.1 Type-C Gen. 1, 1 × mini-jack 1 × USB 3.1 Type-C Gen. 1, 1 × mini-jack
Сеть IEEE 802.11a/b/g/n/ac (MIMO 2×2:2), Bluetooth 4.0 IEEE 802.11a/b/g/n/ac (MIMO 2×2:2), Bluetooth 4.0
Емкость батареи, Вт⋅ч 39,7 41,4
Масса, кг 0,92 0,92
Габаритные размеры (Д × В × Г), см 28,04 × 19,66 × 0,36–1,32 28,04 × 19,66 × 0,36–1,32

Одна из задач, которые мы поставили в обзоре, — сравнить возможности обновленного MacBook и iPad Pro, поэтому напомним, что собой представляет аппаратная платформа последнего. Планшет комплектуется системой на чипе Apple A9X, которая, по грубой оценке характеристик, вполне соотносится с процессором Intel Core M, а по площади кристалла превосходит даже четырехъядерные десктопные Skylake.

Оба чипа — Apple A9X и Intel Core M — имеют два ядра, которые сообщаются с оперативной памятью по 128-битной шине. Каждое из них в идеальном случае способно отдавать на исполнение шесть инструкций (микро-операций в случае Intel). По частотам A9X сравним с младшей моделью Intel Core M поколения Skylake: 2,26 ГГц в 12,7-дюймовом iPad Pro и 2,16 ГГц — в 9,7-дюймовом. Однако на стороне Intel Core есть преимущество в виде кеша L3, который отсутствует в A9X.

Разумеется, быстродействие процессоров не определяется такими простыми метриками, не говоря уже о том, что A9X и Core M спроектированы под различные ISA — ARMv8 и X86 соответственно. Но предварительно победителя в схватке MacBook и iPad Pro предсказать нелегко. Единственные факты, не подлежащие сомнению: а) GPU в составе A9X несравненно более производительный по сравнению с Intel HD Graphics 515, б) в MacBook есть 8 Гбайт RAM, в то время как iPad Pro имеет 2 либо 4 Гбайт, в зависимости от размера модели, в) у «Макбука» больше ПЗУ — вплоть до 512 Гбайт, тогда как iPad Pro обладает не больше чем 256 Гбайт энергонезависимой памяти.

#Комплект поставки

Набор аксессуаров MacBook не изменился с прошлого года. Apple не приложила к ноутбуку ничего полезного, помимо адаптера питания мощностью 29 Вт, кабеля USB с разъемами Type-C, бумажной документации и тряпочки для ухода. Кстати, у блока питания есть неочевидное достоинство — гаджеты Apple (iPhone и iPad), подключенные через переходник USB Type-A — Type-C, опознают «своего» и пользуются повышенным током заряда, что позволяет не брать в дорогу дополнительные зарядники.

К сожалению, переходник с распространенного USB Type-A на Type-C, без которого владелец ультракомпакта от Apple не сможет прожить в ближайшие годы, придется купить отдельно за $29. Существуют и «родные» адаптеры с видевыходом HDMI 1.4 либо VGA и отдельным портом USB Type-C для зарядки подключенного к монитору ноутбука. Стоят они $79. Технически MacBook поддерживает также интерфейс DisplayPort 1.2 с разрешением вплоть до 3840 × 2160 и частотой 60 Гц, но Apple не делает таких адаптеров, в отличие от сторонних производителей.

#Внешний вид, эргономика

Внешне ноутбук ничуть не изменился по сравнению с моделью 2015 года. Это чрезвычайно тонкая и легкая машина весом меньше 1 кг и толщиной в пределах 1,32 см. Единственное нововведение на этот раз — цвет «розовое золото», который, вопреки домыслам, выглядит вполне элегантно и не так уж броско при естественном освещении.

Экран с разрешением 2304 × 1440 пикселов изначально настроен на некратное масштабирование с разрешением 1280 × 800. В противном случае пространства 1024 × 640 было бы недостаточно для комфортной работы. Целевое разрешение поднимается вплоть до 1440 × 900 пикселов, но в таком случае нехватка мощности SoC намного сильнее заметна, нежели на «ретиновых» MacBook Pro.

Компьютер оснащается клавиатурой с крупными и практически плоскими клавишами, имеющими чрезвычайно короткий ход. Конструкция в виде бабочки стабилизирует клавиши в плоскости, и нажимаются они легче, чем на остальных «Маках». Тачпад не имеет аппаратных клавиш, а реакция на давление имитируется ударом пластины об электромагнит. Мы чуть подробнее рассматривали, как работает этот трюк, в обзоре прошлогоднего MacBook Pro. Там он появился впервые.

#Внутреннее устройство

Сайт iFixit снял с нас необходимость вскрывать устройство с целью убедиться, что внутри MacBook также остался практически неизменным. Поскольку вес ноутбука не изменился, повышенная на 4% емкость батареи обусловлена скорее изменениями в ее составе, чем в размерах.


Фото iFixit

Компоненты на матплате распаяны с двух сторон и не подлежат замене силами пользователя. Процессор Core M использует днище алюминиевого корпуса как радиатор. Подложка SoC стала более компактной по сравнению с моделью на ядре Broadwell-Y. Поскольку Intel избавилась от встроенного преобразователя напряжения, на материнской плате больше нет выреза, в который была вложена дочерняя PCB процессора с компонентами VRM, зато появились MOSFET’ы, дроссели, конденсаторы и драйверы дискретного преобразователя.

Помимо SoC, из крупных чипов мы видим контроллер SSD (пурпурная рамка), накрытый чипом его кеш-памяти, две микросхемы MLC Flash от Toshiba с обеих сторон платы и два LPDDR3 SDRAM от Samsung (в рыжих рамках на обратной от CPU стороне платы).


Фото iFixit


Фото iFixit

#Результаты тестирования: производительность

Для сравнения с новым MacBook мы взяли прошлогоднюю версию устройства, iPad Pro обоих размеров, а также последние на данный момент варианты MacBook Pro и MacBook Air с 11,6-дюймовым экраном. Как и наш тестовый образец MacBook, все перечисленные «Маки» были протестированы в базовой конфигурации, за исключением старшего MacBook Pro, где был установлен SSD на 512 Гбайт.

Apple MacBook Pro with Retina display 15", Mid 2015 (MJLQ2*/A) 15,4 дюйма, 2880 × 1800, IPS Intel Core i7-4770HQ (4 ядра, 2,2–3,4 ГГц) LPDDR3 SDRAM, 1600 МГц, 8 Гбайт Intel Iris Pro 5200 Graphics PCIe 2.0 x4 SSD, 512 Гбайт (SM0512G) 99,5
Apple MacBook Pro with Retina Display 13", Early 2015 (MF840*/A) 13,3 дюйма, 2560 × 1400, IPS Intel Core i5-5257U (2 ядра, 2,7–3,1 ГГц) LPDDR3 SDRAM, 1866 МГц, 8 Гбайт Intel Iris 6100 Graphics PCIe 2.0 x4 SSD, 256 Гбайт (SM0256G) 74,9
Apple MacBook Air 11", Early 2015 (MJVM2**/A) 11,6 дюйма, 1366 × 768, TN+Film Intel Core i5-5250U (2 ядра, 1,6–2,7 ГГц) LPDDR3 SDRAM, 1600 МГц, 4 Гбайт Intel HD Graphics 6000 PCIe 2.0 x2 SSD, 128 Гбайт (SD0128) 38
Apple MacBook, Early 2016 (MMGL2**/A) 12 дюймов, 2304 × 1440, IPS Intel Core m3-6Y30 (2 ядра, 1,1–2,2 ГГц) LPDDR3 SDRAM, 1866 МГц, 8 Гбайт Intel HD Graphics 515 PCIe 3.0 x2 SSD, 256 Гбайт (AP0256J) 41,4
Apple MacBook, Early 2015 (MJY32*/A) 12 дюймов, 2304 × 1440, IPS Intel Core M-5Y31 (2 ядра, 1,1–2,4 ГГц) LPDDR3 SDRAM, 1600 МГц, 8 Гбайт Intel HD Graphics 5300 PCIe 2.0 x4 SSD, 256 Гбайт (AP0256H) 39,7
Apple iPad Pro 12,9" (A1652) 12,9 дюйма, 2732 × 2048, IPS Apple A9X (2 ядра, до 2,26 ГГц) LPDDR4 SDRAM, 1600 МГц, 4 Гбайт 12-core PowerVR 7XT PCIe SSD, 256 Гбайт (AP0256K) 38,8
Apple iPad Pro 9,7" (A1673) 9,7 дюйма, 2048 × 1536, IPS Apple A9X (2 ядра, до 2,16 ГГц) LPDDR4 SDRAM, 1600 МГц, 2 Гбайт 12-core PowerVR 7XT PCIe SSD, 256 Гбайт (AP0256K) 27,91

Geekbench 3 64-bit

Как однопоточный, так и многопоточный тест Geekbench показывают, что Skylake обеспечил MacBook чувствительный прирост результатов и сократил до минимума отставание от MacBook Air с мобильной разновидностью процессора Core i5.

Обе разновидности MacBook Pro недосягаемы для своего компактного собрата в этих бенчмарках CPU. Но более интересно, что iPad Pro не так уж сильно отстает в многопоточном тесте от MacBook Pro с двухъядерным CPU, а 12,9-дюймовая модель лидирует по однопоточной производительности.

Cinebench R15

Данный тест доступен только в десктопной ОС, поэтому пришлось обойтись без iPad Pro. Здесь MacBook Air на Broadwell восстановил свое превосходство над 12-дюймовым MacBook как в процессорном, так и графическом бенчмарке, хотя в нем достоинства Skylake дают о себе знать.

Sunspider

В этом классическом бенчмарке JavaScript в связи с отсутствием результатов для 15-дюймового MacBook Pro лидерство принадлежит 13-дюймовой модели. 12-дюймовый MacBook уступил как Air, так и iPad Pro обоих размеров.

WebXPRT 2015

В WebXPRT последней версии мы тестировали только трех участников сравнения. Более комплексная структура теста позволила MacBook прервать череду побед iPad Pro в предыдущих бенчмарках.

GFXBench 3.1

Увеличенная пропускная способность RAM в Skylake играет на руку MacBook 2016 года, но польза от нее, столь выраженная при низкой нагрузке на GPU (тест T-Rex), снижается в более тяжелом графическом тесте (Manhattan). iPad Pro обладает лучшим GPU среди соперников, хотя TDP в корпусе с 9,7-дюймовым экраном сильно ограничивает его возможности сравнительно с 12,9-дюймовой моделью.

Blackmagic Disk Speed Test v. 2

Тест ПЗУ доступен только для OS X, поэтому iPad Pro вновь выбывает из сравнения. Обновленный контроллер здесь существенно улучшил показатели MacBook, но до чрезвычайно быстрого SSD в MacBook Pro ему еще очень далеко. Многое зависит от объема накопителя, поэтому модель на 512 Гбайт наверняка обладает повышенным быстродействием и в компактном MacBook.

#Результаты тестирования: дисплей

В модели MacBook, которую мы тестировали в прошлом году, установлена более яркая матрица — видимо, Apple в очередной раз поменяла поставщика или одновременно получает панели от нескольких различных производителей. 9,7-дюймовый экран iPad Pro обладает выдающейся яркостью, недосягаемой для соперников.

На контрастность экрана в MacBook грех жаловаться: по этому параметру он превосходит 15,4-дюймовый MacBook Pro и ненамного уступает 9,7-дюймовому iPad Pro. Старшая модель iPad в этом плане является недосягаемым эталоном.

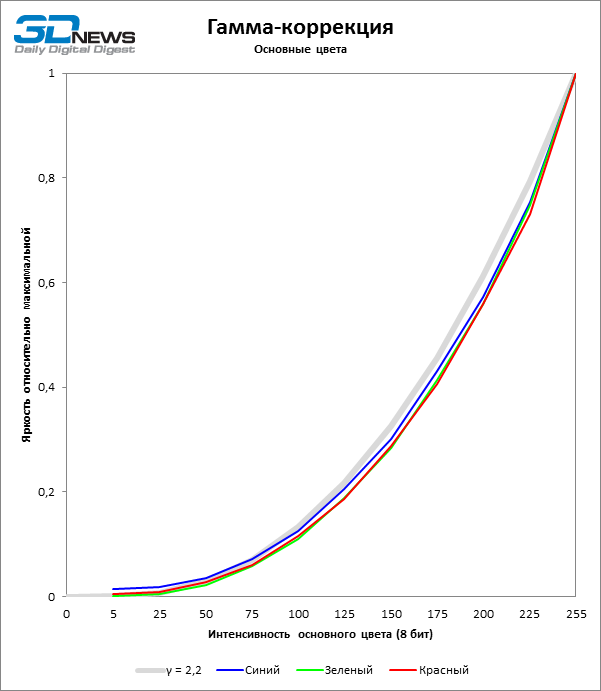
Гамма-коррекция экрана MacBook работает в сторону немного повышенного контраста в средних тонах.

Цветовая температура экрана приближена к стандарту D65.

Цветовой охват дисплея покрывает пространство sRGB, а точка белого установлена настолько близко к целевой, насколько можно требовать от устройства, не рассчитанного на профессиональные приложения.

#Результаты тестирования: время автономной работы

Помимо героя обзора, только MacBook Pro с 15,4-дюймовым экраном в свое время прошел у нас тест автономной работы с реалистичной нагрузкой — обновление четырех копий главной страницы 3DNews с интервалом 5 с при яркости экрана 200 кд/м2. Это весьма энергоемкая задача, однако новинка продержалась в ней на 42 мин дольше 15,4-дюймового MacBook Pro с батареей в 2,4 раза большей емкости.

#Выводы

Обновление самого компактного «Мака» в целом не настолько влияет на восприятие устройства, как то, что произошло с продуктами Apple и самой индустрией за прошедший год. Во-первых, все идет к тому, что MacBook Air с его устаревающим дизайном и сравнительно медленным SSD останется в прошлом. Апгрейд 12-дюймового MacBook до платформы Skylake свел до минимума разницу в производительности между этими моделями. Несмотря на пониженную частоту систем на чипе базовых версий MacBook, усовершенствованное ядро CPU, увеличенная частота RAM и технология Speed Shift вполне заметно повысили производительность. Во-вторых, распространение аксессуаров с портом USB Type-C скрашивает скудные возможности MacBook по подключению периферии. Год назад Apple стала одним из первых производителей, принявших этот стандарт, и ситуация была куда более печальной.

В итоге потенциальным покупателям MacBook вряд ли стоит ждать дальнейших перемен — этот ноутбук будет развиваться именно в таком виде. Единственная возможность, которая непременно появится в устройствах Apple, но не успела попасть в MacBook, это интерфейс Thunderbolt 3, который позволил бы подключать к компьютеру различную скоростную периферию, начиная с DAS на твердотельных накопителях и заканчивая боксами с мощными GPU.

На то, чтобы оценить компактный MacBook по достоинству, в этот раз у нас было больше времени, чем мы получили в прошлом году. Автор несколько недель использовал его как основную рабочую машину после MacBook Pro с экраном 13,3 дюйма (версия 2013 года на Haswell с топовым CPU), а ранее успел опробовать в деле большой iPad Pro, так что помимо резюме тестов производительности здесь хотелось бы поделиться личными впечатлениями.

Временно отказавшись от MacBook Pro, я рассматривал 12-дюймовый MacBook как компаньона в поездках, который вряд ли будет достаточно хорош для моих типичных задач, включающих работу с крупными таблицами в Excel, множество открытых вкладок в Safari, редактирование фотографий в Adobe Photoshop и периодическое переключение на Windows в виртуальной машине. На практике только последний пункт оказался для MacBook непреодолимым препятствием, так как Parallels практически не может полноценно работать на Core m3, несмотря на то, что этот CPU поддерживает аппаратную виртуализацию. С остальными задачами у ноутбука не возникло заметных проблем. Надо признать, что MacBook Pro после возвращения с компактного «Мака» впечатлил тем, насколько быстро и более отзывчиво все стало работать, и все же разница в производительности (если исключить виртуальные машины) далека от того, чтобы сделать работу на MacBook дискомфортной.

Новая конструкция клавиатуры потребовала привыкания, но в итоге набирать на ней текст десятипальцевым методом стало действительно быстрее и удобнее, чем на классической клавиатуре остальных «Маков». У компактного MacBook также достаточно крупный тачпад, особенно по сравнению с 11,6-дюймовым MacBook Air.

Что касается iPad Pro, то эти устройства как никогда ранее приблизились по своим качествам и характеристикам к ПК такого класса, как 12-дюймовый MacBook. Apple A9X — достаточно мощная SoC, чтобы на равных соперничать с низковаттными процессорами Intel по совокупности тестов, и есть аспекты, в которых он способен бросить вызов даже полнокровным мобильным CPU Core i5 и Core i7. Речь о веб-серфинге и играх. Единственное, что по-настоящему сдерживает планшеты Apple, — это сравнительно небольшой объем RAM, особенно в 9,7-дюймовой модели: если сейчас объем RAM в 2 Гбайт еще достаточен для сколько-либо интенсивной работы, то как инвестиция в будущее MacBook выглядит более привлекательно. Тем не менее выбор компактного спутника между iPad и MacBook по большому счету сводится к удобству того или иного форм-фактора и возможностям ПО.

Несмотря на все усилия, которые Apple приложила для того, чтобы сделать планшет рабочей платформой, я бы сказал, что если вы планируете чаще использовать iPad Pro с клавиатурой, чем без нее, то MacBook все-таки будет лучшим выбором. Те программы, которые полагаются в первую очередь на печатный ввод, на iOS все еще уступают своим десктопным аналогам. В противном случае можно было бы закрыть глаза и на эргономику складной клавиатуры Smart Keyboard (проблема здесь не столько в самих клавишах, сколько в том, что iPad не поставишь себе на колени, как ноутбук), и на аппаратные ограничения iPad Pro. Планшет Apple все же лучше сочетается с пером: для конспектирования каких-либо материалов и рукописных заметок он подходит идеально.

Отмести эти рассуждения можно только в том случае, если даже 12-дюймовый MacBook вам покажется недостаточно компактным. Младший iPad Pro, в отличие от 12,9-дюймовой модели, вдвое легче ноутбука, а более легкое зарядное устройство увеличивает эту разницу.

Редакция 3DNews.ru благодарит компанию «Графитек» за предоставленный колориметр X-Rite i1Display Pro.

 
 
⇣ Содержание
Если Вы заметили ошибку — выделите ее мышью и нажмите CTRL+ENTER.

window-new
Soft
Hard
Тренды 🔥
«Жидкое стекло» Apple можно будет заматировать: представлена нова бета iOS 26.1 12 мин.
Сервисы AWS упали второй раз за день — тысячи сайтов по всему миру снова недоступны 8 ч.
Fujitsu влила £280 млн в британское подразделение в преддверии выплат компенсаций жертвам багов в её ПО Horizon 8 ч.
Календарь релизов 20 – 26 октября: Ninja Gaiden 4, Painkiller, Dispatch и VTM – Bloodlines 2 8 ч.
В Windows сломалась аутентификация по смарт-картам после октябрьских обновлений — у Microsoft есть временное решение 9 ч.
Вместо Majesty 3: российские разработчики выпустили в Steam амбициозную фэнтезийную стратегию Lessaria: Fantasy Kingdom Sim 9 ч.
Слухи: Лана Дель Рей исполнит заглавную песню для «Джеймса Бонда», но не в кино, а в игре от создателей Hitman 10 ч.
Зов сердца: разработчики Dead Cells объяснили, почему вместо Dead Cells 2 выпустили Windblown 11 ч.
Adobe запустила фабрику ИИ-моделей, заточенных под конкретный бизнес 11 ч.
Китай обвинил США в кибератаках на Национальный центр службы времени — это угроза сетям связи, финансовым системам и не только 12 ч.
Президент США подписал соглашение с Австралией на поставку критически важных минералов на сумму $8,5 млрд 18 мин.
Новая статья: Обзор смартфона realme 15 Pro: светит, но не греется 5 ч.
Ещё одна альтернатива платформам NVIDIA — IBM объединила усилия с Groq 5 ч.
Учёные создали кибер-глаз, частично возвращающий зрение слепым людям 6 ч.
Samsung выпустила недорогой 27-дюймовый геймерский монитор Odyssey OLED G50SF c QD-OLED, 1440p и 180 Гц 6 ч.
Акции Apple обновили исторический максимум на новостях об отличных продажах iPhone 17 8 ч.
Представлен флагман iQOO 15 с чипом Snapdragon 8 Elite Gen 5 и батареей на 7000 мА·ч по цене меньше $600 9 ч.
Нечто из космоса врезалось в лобовое стекло самолёта Boeing 737 MAX компании United Airlines 10 ч.
Умные кольца Oura научатся выявлять признаки гипертонии, как последние Apple Watch 11 ч.
Дешёвая корейская термопаста оказалась вредна для процессоров и здоровья пользователей 11 ч.