Сегодня 01 февраля 2026
18+
MWC 2018 2018 Computex IFA 2018
реклама
Ноутбуки и ПК

Тонкий ноутбук Lenovo ThinkPad Edge S430 — среднее арифметическое

⇣ Содержание

Требования Intel к ультрабукам не то чтобы совсем уж жесткие, но вполне конкретные. Процессор — только низковольтный. Толщина — не более 21 миллиметра. Если покупателю требуется тонкая и легкая «пишущая машинка», то никаких проблем с этими требованиями нет. Но что делать тем, кто хочет более мощный процессор и сколько-нибудь приличную графику? Возвращаться в мир классических ноутбуков не всем хочется: уж слишком велик контраст.

К счастью, существует переходная категория — не ультратонкие, а «просто тонкие» ноутбуки. Об одной из таких моделей мы сегодня и поговорим. Lenovo ThinkPad Edge S430 комплектуется стандартными мобильными процессорами Intel и дискретной графикой. Кроме того, в данной модели имеется вспомогательный SSD, а опционально поддерживается установка оптического привода или второго жесткого диска.

# Внешний вид и удобство использования

В определенном смысле Lenovo ThinkPad S430 — это нечто среднее между обычным ноутбуком и ультрабуком. Толщина устройства составляет всего 22 мм — лишь немного больше, чем у наиболее упитанных моделей ультрабуков. Несмотря на малую толщину и солидные размеры, жёсткость корпуса достаточно высокая. Даже при существенном усилии на скручивание он лишь немного поддается, но при этом не издаёт никаких звуков.

Все основные детали — внешняя сторона крышки, рабочая область и днище — покрыты бархатистым пластиком soft touch. Различается лишь цвет: крышка и рабочая область — тёмно-коричневые, а днище — чёрное.

Рамка вокруг дисплея изготовлена из пластика с чёрной глянцевой поверхностью, которая быстро покрывается отпечатками и легко царапается. Неплохо коллекционирует отпечатки и тёмная поверхность soft touch, но мелких царапин она практически не боится.

Нижняя сторона ноутбука плоская. Вентиляционных отверстий на ней довольно много, поэтому хорошему отводу тепла ничто не мешает. Однако ножки невысокие, поэтому корпус невысоко приподнят над поверхностью, на которой покоится ноутбук. Кроме того, ножки хорошо скользят по большинству поверхностей, так что случайно стянуть ноутбук со стола можно даже за USB-кабель.

Клавиатурный блок типичный для ноутбуков Lenovo — это сhiclet-клавиатура с характерной формой шапок клавиш. Основание клавиатуры закреплено хорошо, поэтому люфта крепления нет, но при сильном давлении на одну из центральных клавиш основание немного прогибается, из-за чего «гуляют» все соседние кнопки. В остальном замечаний к клавиатуре нет — момент срабатывания хорошо чувствуется, шум нажатия практически незаметен, ужатых литерных клавиш нет. В целом работать с клавиатурой весьма удобно.

Традиционно ноутбуки ThinkPad оборудованы двумя манипуляторами — это тензометрический джойстик (в версии IBM/Lenovo именуемый TrackPoint) с тремя клавишами, а также привычная всем сенсорная панель — в данном случае без выделенных кнопок. Благодаря использованию конструкции тачпада с интегрированными клавишами дизайнерам ноутбука удалось добиться достаточно крупных размеров чувствительной области: 92х67 мм.

Справа от сенсорной панели находится устройство чтения отпечатков пальцев

Передняя сторона корпуса пустует. Не сильно загружена и задняя грань. На ней находится лишь заглушка, скрывающая разъём для SIM-карты, совершенно не актуальный в данном случае, поскольку встроенного 3G-модема в протестированной конфигурации не было.

Из приятных особенностей набора интерфейсов следует отметить тот факт, что в ThinkPad Edge S430 есть порт ThunderBolt. Некоторых читателей, вероятно, порадует наличие разъема проводной сети. Однако не обошлось и без недостатков: портов USB всего два, что неприлично мало для такого крупного ноутбука. А видеовыход HDMI по какой-то неведомой причине выполнен в виде миниатюрного разъема Mini HDMI. Таким незамысловатым образом банальная задача подключения ноутбука к любому современному телевизору превращена в сеанс судорожных поисков подходящего кабеля.

В закрытый декоративной заглушкой отсек на левой стороне корпуса опционально может быть установлен оптический привод или дополнительный жесткий диск. А вот третья логичная опция — установка в данный отсек второго аккумулятора — не предусмотрена.

#Технические характеристики

Lenovo ThinkPad Edge S430
Экран 14,0 дюйма, 1600x900
технология TN, LED-подсветка (AU Optronics B140RW02)
матовое покрытие
Процессор Intel Core i5-3210M: 2,5 ГГц (до 3,1 ГГц в режиме Turbo Boost); 2x256 Кбайт L2; 3 Мбайт L3; два вычислительных ядра
Графика NVIDIA GeForce GT620M, 2 Гбайт DDR3
Intel HD 4000, встроен в процессор
Автоматическое переключение NVIDIA Optimus
Набор микросхем Intel HM77
Оперативная память 4 Гбайт, DDR3-1600 (два разъема расширения)
Жесткий диск HDD 500 Гбайт, 7200 об/мин (Hitachi HTS725050A7E630)
SSD 16 Гбайт (SanDisk U100)
Оптический привод Отсутствует
Разъем флеш-карт SD/MMC (SDHC/SDXC)
Интерфейсы 2 х USB 3.0
1 x Thunderbolt
1 x Mini HDMI
1 x RJ-45
1 x комбинированный аудиоразъем (mini-jack 3,5 мм)
3G -
Wi-Fi 802.11a/b/g/n (Broadcom BCM43228)
Bluetooth 4.0 (Broadcom BCM43228)
Сетевой адаптер 10/100/1000 Мбит/с (Realtek RTL8168/8111)
Звук Realtek ALC269
два динамика, два микрофона
Батарея Из 6 плоских элементов
Емкость 48,8 Вт*ч
Заявленные размеры 351x238x22 мм
Заявленная масса 1,85 кг
Операционная система Windows 7 Home Premium SP1 (64 bit)
Гарантия 12 месяцев
Цена От 27 000 руб. в базовой конфигурации
От 35 000 руб. в протестированной конфигурации

#Тестирование: дисплей

Для данной модели доступно два типа дисплеев: глянцевый, с разрешением 1366x768 и куда более привлекательный матовый, с разрешением 1600х900. На отечественном рынке, что не может не радовать, пока представлен только второй вариант. Использована матрица AU Optronics B140RW02.

Максимальная яркость дисплея — около 220 кд/м2. Светимость черного поля достаточно высока, до 2,84 кд/м2. Так что контрастность не входит в число достоинств данного дисплея — всего-навсего 78:1.

Измерения равномерности подсветки проводились после калибровки дисплея для двух уровней яркости — максимальной и половинной (100% и 50%).

Равномерность яркости при уровне подсветки 100% и 50%

Цветовой охват дисплея ThinkPad Edge S430 невелик: около 67% от sRGB — для недешевого ноутбука показатель откровенно слабый.

График цветового охвата в системе Lab. Зеленая линия — цветовой охват дисплея Lenovo ThinkPad Edge S430; белая — стандартное цветовое пространство sRGB

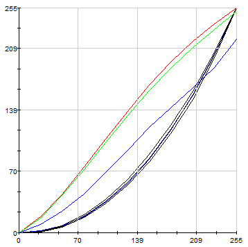
На иллюстрациях, приведённых ниже, изображены гамма-кривые (чёрные графики), полученные до и после калибровки дисплея, целевая гамма 2,2 (светло-синий график) и коррекция для каждого цвета (красный, синий, зелёный).

Также после калибровки была измерена зависимость цветовой температуры градаций серого. На темных оттенках температура стремительно растёт — до 19 500 К на наиболее темном оттенке, задействованном в тесте.

Добавим к этому результаты измерения равномерности цветопередачи при яркости подсветки 50 и 100%.

Равномерность цветопередачи при уровне подсветки 100% и 50%

Точность цветопередачи неудовлетворительная. Для большинства из использованных в тесте 48 оттенков отклонение превышает граничное значение 3, до которого человеческий глаз совершенно неспособен уловить разницу.

#Тестирование: звуковая подсистема

Звучание встроенных динамиков приятно удивило — пара динамиков мощностью по 2 Вт каждый выдает чистый звук без хрипов, шумов и других дефектов даже при установке максимального уровня громкости. Более того, неплохо прослушиваются высокие частоты, есть даже намёки на басы. Конечно, по-настоящему красивого звучания от встроенных колонок ждать не стоит. Но, по крайней мере, их хватит для того, чтобы посмотреть в полевых условиях фильм.

Звук в ThinkPad Edge S430, разумеется, интегрированный. Но не Conaxant, который так любят в Lenovo, а немолодой, но самый заслуженный кодек Realtek ALC269. Не будет лишним отметить, что среди протестированных нами ноутбуков больше всего наивысших оценок получили именно решения на базе Realtek ALC269.

Однако в данном случае придется смириться с итоговой оценкой «очень хорошо» вместо «отлично». Результат по большому счёту неплохой, но хуже, чем у большинства ноутбуков на базе данного кодека. После отключения Wi-Fi-адаптера и внешнего источника питания уровень шума немного снизился (3 дБА), но на общем результате это практически не отразилось.

Тестирование аудиотракта проводилось при помощи вышеупомянутого тестового пакета RMAA и звукового интерфейса Creative E-MU 0202 USB. Режим работы: 16-бит, 44 кГц.

Общие результаты
Неравномерность АЧХ (в диапазоне 40 Гц — 15 кГц), дБ +0,05, -0,37 Хорошо
Уровень шума, дБ (А) -86,3 Хорошо
Динамический диапазон, дБ (А) 86,3 Хорошо
Гармонические искажения, % 0,0049 Очень хорошо
Гармонические искажения + шум, дБ (A) -80,6 Хорошо
Интермодуляционные искажения + шум, % 0,014 Очень хорошо
Взаимопроникновение каналов, дБ -82,5 Очень хорошо
Интермодуляции на 10 кГц, % 0,011 Очень хорошо
Общая оценка Очень хорошо
Частотная характеристика
От 20 Гц до 20 кГц, дБ -0,29, +0,01
От 40 Гц до 15 кГц, дБ -0,08, +0,01
Уровень шума

Левый Правый
Мощность RMS, дБ -84,9 -84,8
Мощность RMS, дБ (A) -86,7 -86,0
Пиковый уровень, дБ -67,4 -67,5
Смещение DC, % -0,0 +0,0

#Тестирование: уровень шума и тепловой режим

Уровень шума охлаждающей системы ноутбука даже в режиме простоя ощутимо выше, чем у подавляющего большинства ультрабуков, да и многие классические ноутбуки работают тише. В то же время даже при существенных, но не слишком длительных нагрузках он не поднимается выше 34,2 дБА. Поэтому при достаточно активной работе с офисной документацией и несложной графикой, а также при прослушивании музыки и просмотре Full HD-видео скачков уровня шума нет, благодаря чему работать с ноутбуком вполне комфортно.

При длительных высоких нагрузках уровень шума очень плавно и практически незаметно поднимается до 35,1 дБА, а при длительных максимальных нагрузках — до 36,3 дБА. Заставить систему охлаждения выдать большую громкость удалось лишь при параллельном запуске тестов стабильности WinRar и Furmark в тяжёлом режиме. Но даже при столь нетипичной для мобильного компьютера нагрузке уровень шума достиг скромной отметки 37,1 дБА. Это не особенно заметно в офисном помещении, а главное, уровень шума заметно ниже, чем у большинства ультрабуков в подобных условиях.

Однако есть и небольшие недочёты. Например, если набор скорости вращения крыльчатки происходит очень плавно, то сброс оборотов гораздо резче — иногда это привлекает внимание. Но, как уже было отмечено выше, скорость вращения крыльчатки изменяется довольно редко, поэтому общий уровень акустического комфорта достаточно высок.

Замер уровня нагрева производится при комнатной температуре (+21 градус Цельсия) для 9 точек днища и рабочей области. После часового циклического запуска пакета 3DMark 2006 температура рабочей области в зависимости от точки измерения составила 22–31 градус Цельсия, а днища — 23–37 градусов.

#Тестирование: производительность

В качестве оппонента для сравнения результатов тестирования производительности мы решили взять соизмеримый по толщине (разница составляет всего 4 мм), но значительно менее дорогой ультрабук Fujitsu UH572, основанный на процессоре Intel Core i5-3317U с интегрированным видео.


Lenovo ThinkPad S430 Fujitsu Lifebook UH572
PCMark05 9116 7901
CPU 8894 7853
Memory 7703 6436
Graphics 6788 4361
HDD 6961 6166
PCMark Vantage Lenovo ThinkPad S430 Fujitsu Lifebook UH572
PCMarkSuite 6917 7033
Memories Suite 5036 4034
TV and Movies Suite 3178 3975
Gaming Suite 6021 4136
Music Suite 7236 6432
Communications Suite 9992 9151
Productivity Suite 5628 5885
HDD Test Suite 5067 4090
PCMark 7 Lenovo ThinkPad S430 Fujitsu Lifebook UH572
PCMark Score 2219 2598
Lightweight 2124 1865
Productivity 1611 1459
Creativity 2792 5427
Entertainment 2183 2580
Computation 3011 16202
System storage 1763 1573
3DMark 2006 Lenovo ThinkPad S430 Fujitsu Lifebook UH572
3DMark Score, 3DMarks 6872 4599
GT1 — Return To Proxycon, FPS 22,965 11,821
GT2 — Firefly Forest, FPS 23,093 12,85
CPU Score, CPUMarks 3505 2954
CPU Test 1, FPS 1,124 0,939
CPU Test 2, FPS 1,749 1,486
Fill Rate (Single-Texturing), MTexels/s 1896,845 1338,274
Fill Rate (Multi-Texturing), MTexels/s 6778,230 7531,139
Pixel Shader, FPS 222,933 217,1
Vertex Shader — Simple, MVertices/s 103,070 165,557
Vertex Shader — Complex, MVertices/s 76h496 58,725

#Тестирование: время автономной работы

Конструкция аккумулятора роднит Lenovo ThinkPad Edge S430 с ультрабуками. В данной модели задействована несъемная (для снятия требуется полностью разобрать корпус) батарея, основанная на плоских элементах питания. Суммарная емкость составляет 48,8 Вт*ч. Это достаточно мало для упитанной 14-дюймовой модели — в корпус вполне мог поместиться и в полтора раза более емкий аккумулятор.

#Вывод

В целом ноутбук получился достаточно интересным — тонкий корпус и относительно небольшая масса в ThinkPad Edge S430 сочетаются с неплохой производительностью, в том числе и графической. Также к плюсам следует отнести невысокий уровень шума системы охлаждения, наличие двух манипуляторов, подсветки клавиатуры, продвинутого интерфейса ThunderBolt и более-менее неплохого дисплея с высоким разрешением и матовым покрытием.

Однако есть и минусы. По длительности автономной работы ноутбук существенно уступает ультрабукам, а возможность подключения дополнительного аккумулятора, к сожалению, не предусмотрена — хотя в Edge S430 имеется модульный отсек, позволяющий установить оптический привод или второй жесткий диск. Дисплей ноутбука обладает невысокой контрастностью, узким цветовым охватом и неточной цветопередачей.

Редакция 3DNews благодарит компанию «Графитек» за предоставленный в распоряжение нашей лаборатории измерительный комплекс Spyder4Elite и украинское представительство Lenovo за предоставленный ноутбук Lenovo ThinkPad Edge S430.

 
 
⇣ Содержание
Если Вы заметили ошибку — выделите ее мышью и нажмите CTRL+ENTER.

window-new
Soft
Hard
Тренды 🔥
Новая статья: Quarantine Zone: The Last Check — эмоций при досмотре не выявлено. Рецензия 12 ч.
Новая статья: Gamesblender № 761: GTA VI только в «цифре», иск к Valve на $900 млн и тайны отмененного «Принца» 13 ч.
IBM превзошла прогнозы Уолл-стрит благодаря спросу на ИИ, а мейнфреймы показали лучший старт продаж за всю историю 15 ч.
Соцсети вскоре столкнутся с массовыми набегами ИИ-агентов, предупредили учёные 20 ч.
Apple проигрывает борьбу за ИИ-специалистов — ценные кадры уходят в Meta и Google DeepMind 20 ч.
Instagram разрешит удалять себя из чужих списков «Близкие друзья» 20 ч.
Экс-инженера Google осудили за кражу коммерческих тайн для Китая 22 ч.
ФСТЭК России опубликовала рекомендации по безопасной настройке Samba 23 ч.
Обещанная Павлом Дуровым интеграция Grok c Telegram до сих пор не случилась и, похоже, уже никогда не случится 31-01 10:02
Запустилась соцсеть Moltbook, где общаются только ИИ-агенты — людям разрешили только наблюдать 31-01 06:31
Южнокорейский стартап FuriosaAI начал массовое производство ИИ-ускорителей RNGD 6 мин.
SK hynix на фоне бума ИИ впервые обошла Samsung по величине годовой прибыли 16 мин.
Продажи спорткара Xiaomi SU7 Ultra упали в 70 раз 51 мин.
Курс биткоина опустился ниже $80 000 впервые с апреля прошлого года 5 ч.
Крупнейшим направлением инвестирования для Nvidia станет OpenAI, но речь идёт не о $100 млрд 6 ч.
10 тыс. ампер на ускоритель: AmberSemi представила чип питания PowerTile для повышения энергоэффективности ИИ ЦОД 15 ч.
Флеш-альянс без срока давности: Kioxia и SanDisk продлили партнёрство по выпуску NAND до 2034 года 15 ч.
RISC-V, Wi-Fi 6, Bluetooth 5.2 и 10GbE SFP+: представлен одноплатный компьютер Milk-V Jupiter 2 16 ч.
Не только ChatGPT: ИИ Google и Microsoft тоже уличили в цитировании Grokipedia 16 ч.
Улучшенная геотермальная энергетика будет выгоднее АЭС, ископаемых и возобновляемых источников, заявили учёные из США 18 ч.