Сегодня 19 февраля 2026
18+
MWC 2018 2018 Computex IFA 2018
реклама
Ноутбуки и ПК

Ноутбук Sony VAIO VPC-Y11M1R/S - дорого и ультратонко

⇣ Содержание
В этот раз мы рассмотрим очередного представителя семейства ультратонких ноутбуков - Sony VAIO VPC-Y11M1R/S. Устройства этого класса занимают промежуточное положение между нетбуками и обычными ноутбуками, превосходя первых по производительности, а вторых - по времени автономной работы.
 SONY VAIO VPC-Y11M1R/S. Вид общий

Продукты Sony отличаются не самой скромной ценой, но всегда находят своего покупателя, поэтому достаточно высокая стоимость ноутбука на базе процессора Intel CULV вряд ли испугает потенциального покупателя. Да и по сравнению с конкурентами она не слишком уж и высока - рекомендуемая цена около 33 тыс. рублей, тогда как, например, за ASUS UL30A нужно выложить около 25 тыс. рублей. Попробуем выяснить, стоит ли переплачивать 8 тысяч за ноутбук с шильдиком VAIO на крышке.

#Технические характеристики, заявленные производителем

Sony VAIO VPC-Y11M1R/S
ОС Windows 7 Home Premium
Процессор Intel SU4100 (1,3 ГГц)
Кэш L2 2 Мб
Системная плата Sony VPC-Y11M1R/S
Чипсет Северный мост: Intel Cantiga GS45
Южный мост: Intel 82801IEM ICH9M-E
Видео Intel GMA 4500MHD
Звук Realtek
Тип матрицы 13,3"
1366х768 точек
SNY05FA
ОЗУ 4 Гб DDR-3, 2+2 Гб Hynix HMT125S6BFR8C-G7
Жесткий диск 320 Гб
Samsung SpiPoint M7 (HM320II)
SATA-II, буфер - 8 Мб, 5400 об/мин
Оптический привод Нет
Интерфейсы 3х USB 2.0
1x HDMI
1x D-Sub (VGA)
1x ExpressCard (34 мм)
1x i.LINK™ (IEEE1394)
1x гнездо установки карт памяти SD/MMC
1x гнездо установки карт памяти MS
1х RJ-45
1х разъем наушников
1х разъем микрофона
Беспроводные интерфейсы Atheros AR9285 802.11 a/b/g
Сетевой адаптер Atheros AR8131 Gigabit Ethernet
Дополнительно Web-камера 0,3 Мп
Батарея Литий-ионный аккумулятор
54 Втч (10,8 В, 5000 мАч)
Габариты, мм 226,5х326х23,7-32 (спереди/сзади)
Масса, кг 1,78
SONY VAIO VPC-Y11M1R/S. Информация о процессоре.

SONY VAIO VPC-Y11M1R/S. Тестирование кэш и памяти.

SONY VAIO VPC-Y11M1R/S. Информация о интегрированном видео.

#Комплект поставки

На тестирование был предоставлен инженерный образец, комплект поставки которого включал лишь сам ноутбук и зарядное устройство. Судя по официальному русскоязычному сайту компании-производителя, кроме разнообразных брошюр и дисков комплект поставки коммерческих версий ноутбука должен включать внешний пишущий тонкий DVD-привод устройством DVD DRXS70UW с питанием от USB-шины ноутбука.

#Внешний вид и удобство использования

 SONY VAIO VPC-Y11M1R/S. Вид общий

Ноутбук является первенцем в новой серии ноутбуков Sony, но не заметить сходства с серией VGN-SR невозможно. Конечно, это совершенно иной класс мобильных ПК, который толще и оборудован встроенным приводом оптических дисков, но все же полностью новой серию Y назвать нельзя. Впрочем, зачем изменения, если дизайн и так хорош - тончайшая крышка, матовое серебристое покрытие, оригинальные соединительные петли с интегрированными разъемом подключения внешнего питания и клавишей включения, красивая и удобная "чиклет"-клавиатура.

 SONY VAIO VPC-Y11M1R/S. Вид общий

Отдельно стоит отметить отсутствие глянцевых панелей, благодаря чему нотубук не коллекционирует отпечатки, да и поцарапать его сложнее. Но тут стоит сделать маленькую оговорку - ультратонкие ноутбуки Acer Aspire As3410 и ASUS UL30, к примеру, могут похвастаться металлическими крышками, тогда как у героя материала она пластиковая. Качество сборки безупречно, а при попытках скручивания и сдавливания корпус не прогибается и не скрипит, хотя от столь тонкого устройства ожидаешь совсем иного.

 SONY VAIO VPC-Y11M1R/S. Вид спереди

Спереди установлено три индикатора активности, выключатель беспроводных интерфейсов и пара традиционных для ноутбуков Sony слотов установки карт памяти - отдельно для SD/MMC и MS, которая активно продвигается компанией Sony.

 SONY VAIO VPC-Y11M1R/S. Вид сзади

Тыльная сторона пустует.

 SONY VAIO VPC-Y11M1R/S. Вид слева

Слева находится гнездо подключения внешнего источника питания, разъем подключения замка безопасности, вентиляционная решетка, порты D-Sub (VGA), HDMI, USB и iLink (IEEE-1394), а также пара стандартных аудиоразъемов. К последним есть одно небольшое замечание - разъем подключения микрофона выделен красным цветом, поэтому сильно бросается в глаза.

 SONY VAIO VPC-Y11M1R/S. Вид справа

Правая сторона менее загружена. Тут находится отсек установки карт расширений ExpressCard 34 мм, скрытый подпружиненной дверцей, пара портов USB, коммуникационный разъем RJ-45 и клавиша включения.

 SONY VAIO VPC-Y11M1R/S. Вид снизу

Днище ноутбука изготовлено из весьма толстого пластика с сильной шероховатостью. Днище плоское, но в задней части, в районе отсека установки аккумулятора имеется небольшой выступ (около 5 мм). Вентиляционных отверстий немного, но на уровне нагрева корпуса это не отображается. Корпус поддерживают пять резиновых ножек с небольшой суммарной площадью контакта с установочной поверхностью, но, несмотря на это, ноутбук хорошо цепляется за любую столешницу. Пользователю доступен один отсек - установки модулей памяти и карт расширений.

 SONY VAIO VPC-Y11M1R/S. Клавиатура

Из-за особенности конструкции соединительных петель угол раскрытия крышки традиционно ограничен величиной примерно 135 градусов.

Клавиатура, как уже упоминалось, не классическая, а "чиклет" - с отдельными ячейками под каждую клавишу и прямоугольным профилем клавиш. В компании Sony уже давно отдали предпочтение данному типу клавиатуры, и не зря, ведь работать с ней значительно удобнее, количество ошибочных нажатий минимально, и это при том, что ширина литерной клавиши всего 15 мм, тогда как стандартная ширина классической клавиши - 18,5 мм, да и с эстетикой дела обстоят значительно лучше. Ужатых клавиш нет, и даже клавиши-стрелки и клавиша [ё] полноразмерные. Ход клавиш средней жесткости, момент срабатывания хорошо чувствуется, а вот звук, напротив, практически незаметен. Основание клавиатуры прочное и хорошо закреплено, поэтому даже при очень сильном давлении на одну из клавиш основание не прогибается и не люфтит.

 SONY VAIO VPC-Y11M1R/S. Сенсорная панель и индикаторы состояния

Сенсорная панель средних размеров - 82х44 мм, чего более чем достаточно для комфортной работы, кроме того, "тачпад" поддерживает технологию мультитач и управление жестами - движением пальца можно прокручивать web-страницы, переключаться между файлами и программами, увеличивать и уменьшать изображения и поворачивать фотографии.

 SONY VAIO VPC-Y11M1R/S. Управление жестами

Клавиши манипулятора крупные - 40,5х12,5 мм, поэтому работать с ними удобно, но без недостатков не обошлось - ход клавиш довольно жесткий, а щелчок срабатывания уж слишком заметен, что особенно контрастирует с практически бесшумной клавиатурой.

 SONY VAIO VPC-Y11M1R/S. Дополнительные клавиши

Над клавиатурой находится пара дополнительных клавиш, три индикатора Lock-клавиш и пара динамиков, скрытых декоративной перфорированной металлической накладкой. По центру верхней кромки дисплея находится окошко web-камеры, которая высоким разрешением похвастаться не может - всего 0,3 Мп (VGA).

#Дисплей

В ноутбуке Sony VAIO VPC-Y11M1R/S установлена очень тонкая 13,3-дюймовая матрица с разрешением 1366х768 точек, соотношением сторон 16:9 и LED-подсветкой. К сожалению, модель матрицы выяснить не удалось. Дисплей глянцевый, из-за чего при сильной засветке, независимо от типа источника, его поверхность при выводе темных изображений отражает все находящееся вокруг ноутбука в мельчайших деталях, в том числе и пользователя, хотя при этом дисплей остается вполне читаемым даже при заниженной яркости подсветки.

При максимальном уровне подсветки светимость белого поля оказалась существенно больше заявленной производителем - 190,0 кд/м², а светимость черного поля оказалась излишне высокой 2,15 кд/м². Это соизмеримо с результатами всех ультратонких 13,3-дюймовых ноутбуков, которые успели побывать у нас на тестировании, но все же подсознательно от ноутбука Sony всегда ожидаешь несколько лучших результатов, чем у конкурентов. Подсветка равномерна, и при визуальной оценке пересвеченные области совершенно незаметны даже при выводе равномерных темных цветовых полей.

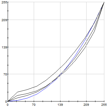
Для оценки цветового охвата использовался колориметр Spyder3 из комплекта Spyder3Studio. График цветового охвата строился для цветовой координатной системы Lab в координатах ab для светлости L=25, 50 и 75. На изображениях зеленая кривая - график цветового охвата тестируемого дисплея, белый - стандартное цветовое пространство sRGB, а также для сравнения приведены следующие графики: Acer Aspire As3410 - красный, Lenovo IdeaPad U350 - синий, ASUS UnLimited UL30 - желтый.

SONY VAIO VPC-Y11M1R/S. График цветового охвата в системе Lab для L=25.

SONY VAIO VPC-Y11M1R/S. График цветового охвата в системе Lab для L=50.

SONY VAIO VPC-Y11M1R/S. График цветового охвата в системе Lab для L=75.

На иллюстрациях, приведенных ниже, отображены гамма-кривые (черные графики), полученные до и после калибровки дисплея, целевая гамма 2,2 (светло-синий график) и коррекция для каждого цвета (красный, синий, зеленый).

SONY VAIO VPC-Y11M1R/S. Гамма-кривые. До калибровки.

SONY VAIO VPC-Y11M1R/S. Гамма-кривые. После калибровки с кривыми коррекции.

#Звуковая подсистема

Качество звучания встроенных динамиков примерно такое же как у ASUS UL30A и Lenovo U350, т.е. звук чистый, без шумов и скрипов, запас громкости приличный, с пробивающимся ВЧ-диапазоном, но басов, как водится, нет и в помине. Встроенная акустика вполне подходит для просмотра фильмов в полевых условиях, можно даже послушать музыку, но для того, чтобы получить максимум удовольствия от просмотра видео или прослушивания музыки, стоит использовать внешнюю акустическую систему либо наушники, тем более, что у героя материала, как показало тестирование, аналоговый аудиовыход весьма качественный.

Модель интегрированного аудиорешения выяснить не удалось - все тестовые пакеты отображают лишь разработчика - Realtek. Тестирование аудиотракта производилось в тестовом пакете RightMark Audio Analyzer (далее RMAA) при помощи звукового интерфейса Creative E-MU 0202 USB. Все спецэффекты в настройках отключены, эквалайзер установлен в позицию по умолчанию. Драйверы были обновлены до наиболее новой версии на момент тестирования. В качестве оппонентов были взяты ультратонкие 13-дюймовые ноутбуки Acer Aspire As3410, Lenovo IdeaPad U350, ASUS UnLimited UL30.

Режим работы: 16-бит, 44 кГц.

Общие результаты

Sony VAIO VPC-Y11M1R/S
Acer Aspire As3410
Lenovo IdeaPad U350
ASUS UnLimited UL30A
Неравномерность АЧХ (в диапазоне 40 Гц - 15 кГц), дБ +0,01, -0,09 Отлично +0,04, -0,14 Очень хорошо +0,02, -0,17 Очень хорошо +0,12, -1,89 Средне
Уровень шума, дБ (А) -93,2 Очень хорошо -92,3 Очень хорошо -90,8 Очень хорошо -95,3 Отлично
Динамический диапазон, дБ (А) 93,3 Очень хорошо 92,4 Очень хорошо 91 Очень хорошо 95,5 Отлично
Гармонические искажения, % 0,0016 Отлично 0,0075 Очень хорошо 0,0058 Очень хорошо 0,002 Отлично
Гармонические искажения + шум, дБ(A) -81,1 Хорошо -71,3 Средне -80,4 Хорошо -83,3 Хорошо
Интермодуляционные искажения + шум, % 0,01 Очень хорошо 0,03 Хорошо 0,01 Очень хорошо 0,168 Средне
Взаимопроникновение каналов, дБ -89,7 Отлично -91,2 Отлично -87,8 Отлично -94,3 Отлично
Интермодуляции на 10 кГц, % 0,0094 Очень хорошо 0,015 Очень хорошо 0,009 Очень хорошо 6,951 Очень плохо
Общая оценка
Очень хорошо
Очень хорошо
Очень хорошо
Очень хорошо

Частотная характеристика

Sony VAIO
VPC-Y11M1R/S
Acer Aspire As3410
Lenovo IdeaPad U350
ASUS UnLimited UL30A
От 20 Гц до 20 кГц, дБ -0,70, +0,01 -0,59, +0,04 -0,42, +0,02 -4,96, +0,12
От 40 Гц до 15 кГц, дБ -0,09, +0,01 -0,14, +0,04 -0,17, +0,02 -1,89, +0,12

Уровень шума

Sony VAIO VPC-Y11M1R/S
Acer Aspire As3410
Lenovo IdeaPad U350
ASUS UnLimited UL30A
Левый
Правый
Левый
Правый
Левый
Правый
Левый
Правый
Мощность RMS, дБ -92,1 -91,7 -91 -91,1 -88,8 -89 -94,5 -94,4
Мощность RMS, дБ (A) -93,5 -92,9 -92,3 -92,3 -90,8 -90,9 -95,4 -95,1
Пиковый уровень, дБ -79,1 -78,8 -77 -79,2 -71,3 -72,4 -82,1 -82,1
Смещение DC, % 0 0 0 0 0 0 0 0

#Беспроводные интерфейсы

Тут ничего экстраординарного нет - стандартный набор, состоящий из модуля Bluetooth v2.1 и адаптера беспроводной сети, работающего в стандартах 802.11 a/b/g. Управления и настройка беспроводных соединений осуществляется штатными средствами ОС либо при помощи фирменной утилиты VAIO Smart Network, которая позволяет создавать множество профилей соединений и производить быстрый переход между ними. Быстрое включение/отключение беспроводных интерфейсов осуществляется при помощи двухпозиционного переключателя ползункового типа в передней части ноутбука.

#Уровень шума и тепловой режим

Кулер охлаждающей системы ноутбука двухскоростной: в режиме простоя, а также при средней и кратковременной (до минуты) высокой нагрузке уровень шума не превышает отметку 32,7 дБА. При возникновении длительной высокой нагрузки уровень шума плавно увеличивается до 34,5 дБА. Ниже приведена сводная диаграмма уровня шума в режиме простоя и в режиме максимальной нагрузки для ноутбуков Acer Aspire As3410, Lenovo IdeaPad U350, ASUS UnLumited UL30A и Sony VAIO VPC-Y11M1R/S. Измерение уровня шума производилось на расстоянии 20 см от центра передней панели.

Замеры уровня нагрева корпусов тестируемых ноутбуков осуществлялись в девяти точках днища и в девяти точках рабочей области после 30-минутного прогона пакета 3DMark 2006. Температура окружающей среды во время измерений составляла +21 градус Цельсия. Уровень нагрева корпуса оказался средним: рабочая область, в зависимости от точки измерения, прогревалась до 25,4-31,5 градуса, а днище - до 27,1-30,8. Для сравнения на изображениях, приведенных ниже, указан уровень нагрева зон не только тестируемого ноутбука, но и тех же оппонентов, что и при сравнении уровня генерируемого шума.

Температурный режим. Днище.

Температурный режим. Рабочая область.

#Производительность

Стоит напомнить, что ноутбук Sony VAIO VPC-Y11M1R/S построен на связке процессора Intel SU4100 и интегрированного видео Intel GMA X4500MHD, оснащен 4 Гб ОЗУ, а в качестве основной ОС установлена Windows 7 Home Premium. В качестве оппонентов были выбраны следующие ноутбуки:

  • Acer Aspire As3410 (Intel SU2300, Intel GMA X4500MHD, 3 Гб DDR3);
  • Lenovo IdeaPad U350 (Intel Celeron ULV 723, Intel GMA X4500MHD, 2 Гб DDR3);
  • ASUS UnLimited UL30 (Intel SU2300, Intel GMA X4500MHD, 4 Гб DDR3).
Sony VAIO VPC-Y11M1R/S
(Windows 7)
Acer Aspire As3410
(Windows 7)
Lenovo IdeaPad U350
(Windows Vista)
ASUS UnLimited UL30A
(Windows Vista)
PCMark05 3008 - 1733 3225
CPU 3230 3001 1980 3058
Memory 3190 3082 2394 3182
Graphics 1469 1103 1122 1579
HDD 4353 5267 4602 5093
System Test
HDD XP Startup, MB/s 7 8,9 7,3 8,4
Physics and 3D, FPS 68,6 58,3 38,5 51,5
2D Transparebt Windows, windows/s 427,7 514,3 328,4 1783,9
3D Pixel Shader, FPS 50 30,5 35,9 41,1
Web Page Rendering, pages/s 1,2 1,1 0,9 1,1
File Decryption, MB/s 35,6 32,8 30,2 33,8
Graphics Memory - 64 lines, FPS 596,9 401,6 254,8 472,7
HDD - General Usage, MB/s 4,6 4,9 4,2 5,2
Audio Compression, KB/s 894 N/A 740,4 891,9
Video Encoding, KB/s 305,6 N/A 96,4 277,7
Text edit, pages/s 76,5 69,3 30,7 64,3
Image Decompression, Mpixel/s 17,3 15,7 7,3 17
File Compression, MB/s 2,9 2,7 1,2 2,7
File Encryption, MB/s 15,9 15 6,9 15,5
HDD - Virus Scan. MB/s 30 31,6 6,7 53,4
Memory Latency - Random 16 MB, MAccesses/s 7 6,9 6,9 6,9
CPU Test
File Compression, MB/s 5,6 5,2 4,9 5,4
File Decompression, MB/s 85,1 78,9 74,2 74,6
File Encryption, MB/s 34,6 32,7 30,7 33,8
File Decryption, MB/s 35,3 32,7 29,7 33,7
Image Decompression, Mpixel/s 18,3 16,9 13,3 17,4
Audio Compression, KB/s 1720,6 1588,6 1489,7 1635,5
Multithreaded Test 1
File Compression, MB/s 5,4 5 2,5 5,3
File Encryption, MB/s 34,6 32,3 15,3 32,2
Multithreaded Test 2
File Encryption, MB/s 39,1 39,5 18,1 36,4
File Decryption, MB/s 17,6 15,2 7,6 16,3
Audio Decompression, KB/s 652,5 649,9 294,1 640,5
Image Decompression, MPixel/s 9,1 7,7 3,9 8,6
3DMark 2006 Sony VAIO VPC-Y11M1R/S
(Windows 7)
Acer Aspire As3410
(Windows 7)
Lenovo IdeaPad U350
(Windows Vista)
ASUS UnLimited UL30A
(Windows Vista)
3DMark Score, 3DMarks 904 549 534 674
GT1 - Return To Proxycon, FPS 2,357 1,346 1,311 1,76
GT2 - Firefly Forest, FPS 2,427 1,446 1,321 1,654
CPU Score, CPUMarks 1173 1082 544 1062
CPU Test 1, FPS 0,371 0,34 0,17 0,342
CPU Test 2, FPS 0,594 0,55 0,278 0,527
Fill Rate (Single-Texturing), MTexels/s 806,08 483,57 609,03 717,42
Fill Rate (Multi-Texturing), MTexels/s 1434,9 863,52 1061,6 1236,5
Pixel Shader, FPS 42,827 25,457 30,119 34,304
Vertex Shader - Simple, MVertices/s 19,004 11,997 4,858 5,941
Vertex Shader - Complex, MVertices/s 16,142 10,272 3,23 5,499
PCMark Vantage Sony VAIO VPC-Y11M1R/S
(Windows 7)
Acer Aspire As3410
(Windows 7)
Lenovo IdeaPad U350
(Windows Vista)
ASUS UnLimited UL30A
(Windows Vista)
PCMarkSuite 2775 2544 1248 2237
Memories Suite 1842 1570 991 1498
TV and Movies Suite 1944 N/A 779 998
Gaming Suite 1683 1468 897 1516
Music Suite 3226 3023 1597 2407
Communications Suite 2891 2672 1206 2148
Productivity Suite 2273 2097 N/A 1963
HDD Test Suite 2943 3232 3022 3247

Традиционные графики тестирования накопителей пакета Lavalys EVEREST было решено заменить обычной сравнительной диаграммой, чтобы наглядно продемонстрировать разницу в производительности дисковой подсистемы всех участников тестирования.

#Источник питания и автономная работа

В ноутбуке установлен базовый 6-сегментный аккумулятор средней емкости - 54 Втч. Опционально доступен более емкий аккумулятор, который, по заявлениям производителя, позволяет работать вдали от розетки в течение 15 часов, а с базовым - до 9 часов. Тестирование традиционно проводилось в пакете Battery Eater Pro в режимах "классический" и "читательский". В "классическом" режиме ноутбук продержался 205 минут, а в читательском - 531 минуту, что весьма близко к заявленному результату. Полная зарядка аккумулятора процесс довольно длительный - 225 минут.

Для сравнения ниже приведена диаграмма времени автономной работы в режимах "классический" и "читательский" для следующих мобильных ПК:

  • Aser Aspire As3410, 48,84 Втч;
  • ASUS UnLimited UL30A, 84 Втч;
  • Lenovo Idea Pad U350, 41 Втч;
  • Sony VAIO VPC-Y11M1R/S, 54 Втч.

В связи с тем, что оппоненты оснащены аккумуляторами различной емкости, было решено добавить сравнительную диаграмму, демонстрирующую потребление энергии в режимах "классический" и "читательский" пакета Battery Eater Pro.

#Выводы

Первое впечатление об устройстве в первую очередь формируется дизайном корпуса, эргономичностью и удобством управления. И тут с ноутбуком Sony трудно конкурировать, ведь он просто красив, тонок и удобен без каких-либо оговорок.

Дисплей и встроенная акустика у тестируемого ноутбука не выдающиеся и по качеству соизмеримы с лучшими представителями сегмента, зато качество звука на аналоговом выходе чуть лучше, чем у самого сильного конкурента - ASUS UnLimited UL30A.

По уровню производительности впереди модель Sony, но не стоит забывать о том, что его стоимость довольно высока, поэтому небольшой отрыв от конкурентов нельзя считать сильным преимуществом. В плане уровня шума и нагрева ноутбук опять же не лучше и не хуже конкурентов.

При тестировании длительности автономной работы ноутбук поставил рекорд в энергопотреблении в режиме "читательский". В целом, ноутбук оставляет хорошие впечатления, особенно благодаря качеству сборки и удобству работы. Кроме того, как ни крути, а ноутбуки Sony - имиджевые решения, которые подчеркивают статус владельца, но цена все же отрезвляет и заставляет взвешивать все за и против.

Благодарим украинское представительство компании Sony за предоставленное для тестирования оборудование.

 
 
⇣ Содержание
Если Вы заметили ошибку — выделите ее мышью и нажмите CTRL+ENTER.

window-new
Soft
Hard
Тренды 🔥
«Пути назад нет»: Google признала интеграцию ИИ в жизнь людей свершившимся фактом 2 ч.
У пользователей Google Gemini появилась возможность создавать 30-секундные музыкальные композиции по описанию и картинкам 2 ч.
Официальный сайт Highguard вышел из строя и не работает уже больше суток, но не потому, что студия закрывается 13 ч.
Copilot роется в конфиденциальных письмах пользователей в обход защиты — Microsoft назвала это багом 13 ч.
Из лучших побуждений: Gemini солгал о сохранении медицинских данных пользователя, чтобы его утешить 13 ч.
Разработчики Escape from Tarkov раскрыли планы на развитие игры в первой половине 2026 года и выпустили озвучку от Никиты Буянова 14 ч.
Firefox вот-вот лишится поддержки Windows 7 и 8 — Mozilla советует срочно обновить ОС 15 ч.
Киберпанковый боевик Replaced опять перенесли — на этот раз из-за демоверсии в Steam 15 ч.
«Яндекс» рассказал, как сэкономил 4,8 млрд рублей на обучении ИИ без потери качества 15 ч.
Discord будет применять возрастную цензуру с помощью ИИ, за которым будут перепроверять люди 15 ч.
Tesla собрала первое роботакси Cybercab без руля и педалей, но на дороги его пока не выпустят 8 мин.
OpenAI в рамках текущего раунда финансирования может привлечь более $100 млрд и поднять капитализацию до $850 млрд 2 ч.
NZXT представила компактный корпус H2 Flow и блок питания C850 SFX 9 ч.
Неуловимая чёрная дыра промежуточной массы выдала себя, в клочья разорвав белого карлика 13 ч.
Google представила Pixel 10a — смартфон среднего уровня с дизайном, характеристиками и ценой Pixel 9a 13 ч.
Власти Индии закупят ещё 20 тыс. ускорителей NVIDIA для ускорения развития ИИ в стране 14 ч.
Hisense открыла в Москве фирменный магазин в формате shop-in-shop 15 ч.
Топ-менеджер Intel: в половине отгруженных в этом году ПК будет ускоритель ИИ 15 ч.
ПК-версию Cyberpunk 2077 запустили на Android — RedMagic 11 Pro справился на 30–40 FPS 17 ч.
Китайский конкурент Neuralink сообщил о первых успехах — пациент с имплантом научился управлять курсором за 5 дней 18 ч.