Сегодня 13 марта 2026
18+
MWC 2018 2018 Computex IFA 2018
реклама
Ноутбуки и ПК

Lenovo ThinkPad Edge E530 — совмещаем приятное с полезным

⇣ Содержание

# Тестирование: дисплей

В протестированной конфигурации Lenovo ThinkPad Edge E530 была использована матрица AU Optronics B156XTN с разрешением 1366х768 точек и матовым покрытием. Матрица не самая плохая, но и до лучших экземпляров ей далеко. Светимость белого поля при максимальном уровне подсветки составляет 184,4 кд/м2. Светимость чёрного поля — 2,17 кд/м2, что даёт нам статическую контрастность на уровне 85:1. Не то чтобы хорошо, но бывает и еще меньше.

Измерения равномерности подсветки проводились после калибровки дисплея для двух уровней яркости — максимальной и половинной (100% и 50%).

Равномерность яркости при уровне подсветки 100% и 50%

Цветовой охват дисплея ThinkPad Edge E530 несколько больше, чем у большинства экранов недорогих ноутбуков: около 78% от sRGB — тогда как чаще всего встречаются матрицы с охватом 60–65%.

График цветового охвата в системе Lab. Зеленая линия — цветовой охват дисплея Lenovo ThinkPad Edge E530; белая — стандартное цветовое пространство sRGB

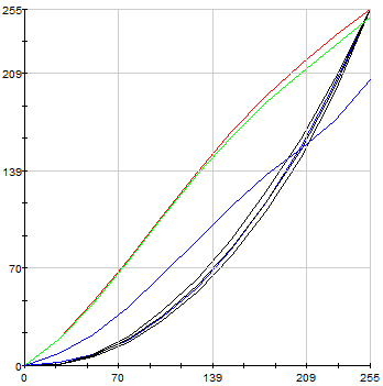
Гамма-кривые (чёрные графики), полученные до и после калибровки дисплея, целевая гамма 2,2 (светло-синий график) и коррекция для каждого цвета (красный, синий, зелёный)

Баланс белого весьма далек от идеала: цветовая температура составляет около 8 000 К непосредственно для белого и равномерно растет аж до 41 000 К ближе к черному. Прописью: до сорока одной тысячи.

Равномерность цветопередачи при уровне подсветки 100% и 50%

Порадовать точной цветопередачей данный дисплей не может. Для большинства из использованных в тесте 48 оттенков отклонение превышает граничное значение 3, до которого человеческий глаз совершенно неспособен уловить разницу.

# Тестирование: звуковая подсистема

От динамиков практически любого ноутбука не стоит ожидать глубокого мелодичного баса и звонкого ВЧ-диапазона. Даже модели, украшенные логотипами именитых производителей Hi-Fi-техники по большому счету предлагают качество звучания встроенных динамиков, достаточное разве что для просмотра мелодрам, где звуковой дорожке уделяется не так много внимания.

Что уж говорить про простую рабочую лошадку? Звучание плоское, немного приглушённое, будто бы ноутбук спрятан в кладовой. Низких частот вообще не слышно, высокие немного проклёвываются, но не более того. Впрочем, есть и хорошие новости: шумов, треска или иных дефектов при установке максимального уровня громкости не наблюдается, да и запас громкости приличный. В целом для «технического» звука динамиков хватит.

Звуковой тракт ноутбука построен на базе Conexant Cx20671. Решения данного производителя чаще других встречаются именно в ноутбуках Lenovo. Нередко они показывают весьма неплохие результаты, и Lenovo ThinkPad Edge E530 не стал исключением — итоговая оценка «отлично» говорит сама за себя.

Тестирование аудиотракта проводилось при помощи вышеупомянутого тестового пакета RMAA и звукового интерфейса Creative E-MU 0202 USB. Режим работы: 16-бит, 44 кГц.

Общие результаты
Неравномерность АЧХ (в диапазоне 40 Гц — 15 кГц), дБ +0,02, -0,18 Очень хорошо
Уровень шума, дБ (А) -98,4 Отлично
Динамический диапазон, дБ (А) 98,6 Отлично
Гармонические искажения, % 0,0034 Очень хорошо
Гармонические искажения + шум, дБ(A) -82,2 Хорошо
Интермодуляционные искажения + шум, % 0,0064 Отлично
Взаимопроникновение каналов, дБ -95,8 Отлично
Интермодуляции на 10 кГц, % 0,0047 Отлично
Общая оценка Отлично
Частотная характеристика
От 20 Гц до 20 кГц, дБ -0,48 +0,02
От 40 Гц до 15 кГц, дБ -0,18 +0,02
Уровень шума

Левый Правый
Мощность RMS, дБ -96,3 -96,2
Мощность RMS, дБ (A) -98,4 -98,4
Пиковый уровень, дБ -79,2 -78,4
Смещение DC, % +0,0 -0,0

# Тестирование: уровень шума и тепловой режим

Сразу стоит оговориться, что по крайней мере в предоставленном на тестирование образце алгоритм работы активной составляющей охлаждающей системы оставляет желать лучшего. Причём недоработка именно в программной части управления скоростью вращения: при росте температуры вентилятор очень резко, буквально за доли секунды раскручивается до максимума, после чего сразу же начинает плавно сбавлять обороты и за 2–3 секунды достигает необходимой при данной нагрузке скорости вращения.

В целом ноутбук довольно тихий, но описанные выше всплески немного мешают комфортной работе. В режиме простоя или невысокой офисной нагрузки уровень шума зачастую не превышает 33,5 дБА, хотя изредка вентилятор ненадолго раскручивается до второй скорости, при которой уровень шума достигает 35,3 дБА. Собственно, на этой отметке он, как правило, держится даже при максимальных нагрузках на процессор и видеоадаптер и крайне редко, неохотно достигает 37,8 дБА.

Теоретически вентилятор может быть еще более шумным. Однако достигнуть следующей скорости вращения при температуре окружающей среды 21 градус по Цельсию с использованием нашей стандартной методики не удалось. Для того чтобы заставить систему охлаждения показать максимум, пришлось параллельно запустить Furmark в режиме проверки стабильности и встроенный бенчмарк WinRar. И даже несмотря на то, что ноутбук уже был предварительно разогрет стандартными тестами, перехода на высшую скорость пришлось ждать целых 7 минут. Уровень шума при этом составил 42,2 дБА. Повторимся, при нормальном использовании такое значение практически недостижимо.

После часового циклического запуска пакета 3DMark 2006 температура рабочей области в зависимости от точки измерения составила 23–32 градуса Цельсия, а днища — 23–35 градусов.

# Тестирование: производительность

Результаты тестирования производительности и времени автономной работы сравним с показателями недавно рассмотренного Lenovo ThinkPad Edge S430, который представляет собой нечто среднее между ультрабуком и классическим ноутбуком. Эта 14-дюймовая модель имеет более тонкий корпус, оснащена «плоским» аккумулятором и вспомогательным SDD объемом 16 Гбайт, однако комплектуется «полноразмерным» процессором и дискретной графикой. Цены S430 и E530 в протестированных конфигурациях сравнимы.


Lenovo ThinkPad S430 Lenovo ThinkPad E530
PCMark05 9116 7601
CPU 8894 7493
Memory 7703 5935
Graphics 6788 6664
HDD 6961 5695
PCMark 7 Lenovo ThinkPad S430 Lenovo ThinkPad E530
PCMark Score 2219 1365
Lightweight 2124 1816
Productivity 1611 1302
Creativity 2792 2361
Entertainment 2183 1087
Computation 3011 2460
System storage 1763 1607
3DMark 2006 Lenovo ThinkPad S430 Lenovo ThinkPad E530
3DMark Score, 3DMarks 6872 8637
GT1 — Return To Proxycon, FPS 22,965 31,069
GT2 — Firefly Forest, FPS 23,093 30,496
CPU Score, CPUMarks 3505 2928
CPU Test 1, FPS 1,124 0,935
CPU Test 2, FPS 1,749 1,468
Fill Rate (Single-Texturing), MTexels/s 1896,845 2477,272
Fill Rate (Multi-Texturing), MTexels/s 6778,23 9422,092
Pixel Shader, FPS 222,933 335,866
Vertex Shader — Simple, MVertices/s 103,07 142,661
Vertex Shader — Complex, MVertices/s 76,496 102,876

# Тестирование: время автономной работы

В Lenovo ThinkPad Edge E530 используется наиболее стандартная батарея, построенная на 6 цилиндрических элементах питания. Емкость составляет около 48 Вт*ч — вполне типично для недорогих моделей.

Несмотря на одинаковую емкость аккумуляторов, крупный ThinkPad Edge E530 существенно превзошел своего более компактного родственника по времени автономной работы: в среднем он работает на 30-40 минут дольше.

# Вывод

У Lenovo ThinkPad Edge E530 есть множество достоинств. В первую очередь это спокойный деловой дизайн, невысокая масса и демократичная цена. К ним прилагаются несколько весьма приятных бонусов: два манипулятора, три порта USB версии 3.0 (плюс один порт версии 2.0), высокое качество звука на аналоговом аудиовыходе и вполне приличное время работы от аккумулятора.

Но есть и минусы — это недостаточная жёсткость корпуса, прогибающееся основание клавиатуры, невысокое качество дисплея и встроенных динамиков, а также немного странный алгоритм работы активной составляющей охлаждающей системы (впрочем, этот момент могут доработать в финальной прошивке).

Данная модель играет в самом конкурентном сегменте рынка: аналоги есть абсолютно у всех ведущих производителей ноутбуков. По большому счету, единственная эксклюзивная особенность ThinkPad Edge — наличие двух манипуляторов. Хорошее подспорье в тендерах, но в борьбе за самостоятельного покупателя это едва ли поможет.

Редакция 3DNews благодарит компанию «Графитек» за предоставленный в распоряжение нашей лаборатории измерительный комплекс Spyder4Elite и украинское представительство Lenovo за предоставленный ноутбук Lenovo ThinkPad Edge E530.

 
← Предыдущая страница
⇣ Содержание
Если Вы заметили ошибку — выделите ее мышью и нажмите CTRL+ENTER.

window-new
Soft
Hard
Тренды 🔥
Meta отложила выпуск флагманской ИИ-модели Avocado на май или более поздний срок 37 мин.
Музыкальный геймплейный трейлер Gate Guard Simulator показал будни средневекового стражника — это смесь Papers, Please и Kingdom Come: Deliverance 41 мин.
Соцсеть X поменяет процесс получения «синих галочек» для европейцев 2 ч.
Gemini сможет заказывать такси и еду: Google запустила ИИ-агента на Samsung Galaxy S26 2 ч.
Анонс пошаговой ролевой игры Void Hunters напомнил пользователям о мрачных сторонах мобильного гейминга 2 ч.
Под нажимом властей Apple снизила комиссию App Store для китайских разработчиков 2 ч.
Классическая стратегия спустя 40 лет вернётся в улучшенном виде — трейлер и детали Defender of the Crown: The Legend Returns 2 ч.
Клиент не всегда прав: психоделический хоррор Donut Panic отправит игроков печь пончики и страдать от гротескных галлюцинаций 3 ч.
«Мечтал о такой игре больше 20 лет»: новый геймплей олдскульного стелс-экшена Project Shadowglass порадовал фанатов Thief 4 ч.
Коммуникационное агентство IVS Group переходит в «Турбо Облако» 5 ч.
Китайская ByteDance обойдёт санкции США и получит доступ к чипам NVIDIA B200 на $2,5 млрд 13 мин.
Китай разрешил коммерческое применение мозговых имплантов для реабилитации парализованных 38 мин.
Гелия осталось на две недели: производители чипов готовятся к последствиям войны на Ближнем Востоке 53 мин.
Microsoft, Intel и AMD готовят ответ MacBook Neo — Apple встряхнула рынок ПК 53 мин.
Китайская LisuanTech представила игровую видеокарту Lisuan Extreme на собственном 6-нм чипе 7G106 — продажи стартуют в июне 3 ч.
NASA назначило новую дату возвращения людей к Луне — миссия Artemis II получила зелёный свет 3 ч.
Microsoft вскоре потеряет куратора Windows, Office и Copilot — компанию ждут перестановки 3 ч.
Tenstorrent представила настольную ИИ-систему TT-QuietBox 2 с СЖО на базе RISC-V 3 ч.
NASA начало искать потенциально обитаемые инопланетные системы — получены первые снимки с космического телескопа SPARCS 3 ч.
ByteDance нашла обход санкций США — её ИИ будет работать на Nvidia B200 в Малайзии 3 ч.