⇣ Содержание
							
		
		
	| Опрос | 
	
		реклама
		
	
	
	
	 
 HP Envy Ultrabook 6-1051er — ультратонкий среднеформатник  
 Попытки создания тонких или даже очень тонких 15-дюймовых ноутбуков предпринимались еще до того, как Intel начала активно продвигать ультрабуки, причём нельзя сказать, что эти попытки были большой редкостью. Такие модели строили как на основе не особенно производительных процессоров Intel ULV, так и на базе «полноразмерных» мобильных процессоров. Однако развитие сегмента ультрабуков не могло не привести к появлению большего количества крупных, но тонких моделей. Ведь в рамках данной концепции можно создать не просто тонкий и лёгкий, но одновременно и производительный среднеформатник с внушительным временем автономной работы — причем стоить он может не так уж дорого. Правда, чтобы обеспечить последний пункт, на чем-то придется экономить — в зависимости от конкретной модели это могут быть разные компоненты. В этот раз к нам в руки попал 15,6-дюймовый ультрабук HP Envy Ultrabook 6-1051er, основанный на процессоре Intel Core третьего поколения aka Ivy Bridge. Среди достоинств, которые бросаются в глаза при первом взгляде на эту модель, — красивый красно-чёрный корпус и акустическая система, созданная в сотрудничестве с Beats Audio. ⇡#Внешний вид и удобство использованияНад внешним видом Envy 6 поработали хорошо — устройство радует глаз комбинацией чёрного верха и темно-красного низа, малой общей толщиной и красивыми металлическими панелями с поверхностью, имитирующей грубую обработку. В общем, ноутбук красив, и добавить тут нечего. Однако первоначальное радостное восприятие дизайна немного меняется, когда начинаешь работать с ноутбуком. Черные металлические панели мгновенно собирают отпечатки пальцев, и от этого ноутбук начинает выглядеть менее нарядно. Красное пластиковое днище с покрытием soft touch оказалось менее марким, но все же отпечатки заметны и на нем. Качество сборки выше всех похвал. Жесткость корпуса на кручение достаточно высока — даже при приложении существенных усилий Envy 6 практически не изгибается, хоть и немного поскрипывает, ведь в основе конструкции пластик. Развесовка у ноутбука не лучшая — задняя часть гораздо тяжелее лицевой. Поэтому работать с 15-дюймовым Envy, удерживая его в воздухе одной рукой, не слишком удобно. Однако не стоит забывать, что это среднеформатная модель, а не 11-13-дюймовая малютка: к работе на весу Envy 6 в любом случае не располагает. Клавиатурный блок островного типа вполне стандартный для ноутбуков HP, с той лишь разницей, что поверхность между кнопками не глянцевая, как, например, в прошлогодних ноутбуках Pavilion, а матовая, поэтому она совершенно не боится отпечатков. Размер литерных клавиш стандартный, 15,5 мм, клавиша [ё], она же «тильда», не пострадала, зато стрелкам «вверх» и «вниз» досталось — их высота была уменьшена вдвое, до 7,5 мм. К тому же установлены они вплотную друг к другу, поэтому при активной работе с текстом нередко случаются промахи и ошибочные нажатия. Но в остальном клавиатурный блок только радует — основание прекрасно закреплено, ход клавиш средней жёсткости с хорошо ощутимым моментом срабатывания, к тому же клавиши очень тихие. Обратите внимание, что это одна из немногих современных «пятнашек» без цифрового блока. Для тех, кто часто работает с цифрами, это потеря, но для остальных — скорее преимущество. Благодаря отсутствию цифрового блока сенсорная панель, традиционно размещаемая под пробелом, расположена по центру корпуса, а не смещена ближе к левому краю. Тачпад «бескнопочный», его размеры огромны — 112х70 мм. Клавиши манипулятора, точнее используемые в таком качестве нижние углы сенсорной панели имеют довольно короткий ход средней жёсткости, при этом щелчки при нажатии хорошо слышны даже в крупном и шумном офисе. Передняя сторона корпуса пустует. Тут нет не только разъёмов, но даже индикаторов. У конструкторов ноутбуков HP уже давно вошло в привычку выносить все светодиоды на боковые стороны. Задняя сторона практически полностью занята огромной вентиляционной решёткой. Столь большие ячейки могли стать не только плюсом, но и минусом — через них внутрь корпуса могут попадать мусор и насекомые. Поэтому большая часть ячеек с внутренней стороны закрыта листом с мелкой перфорацией. Слева находится порт RJ-45, наполовину прикрытый подпружиненной панелью, два порта USB 3.0, устройство чтения карт памяти, а также индикаторы питания и обращения к жесткому диску. Справа расположено гнездо питания, порт USB 2.0, пара стандартных аудиоразьёмов и разъём подключения замка безопасности. Днище ноутбука плоское, а в задней части, где сосредоточена большая часть элементов, активно выделяющих тепло, находится огромная вентиляционная решётка. В общем, за тепловые режимы ноутбука можно не переживать. Корпус опирается на четыре массивные круглые резиновые ножки, окаймлённые хромированными кантами. Площадь пятна контакта с поверхностью невелика, но, несмотря на это, ультрабук цепко держится за любую столешницу. Для питания от сети используется сравнительно компактный блок питания стандартной для таких конфигураций мощности — 65 Вт. ⇡#Технические характеристики
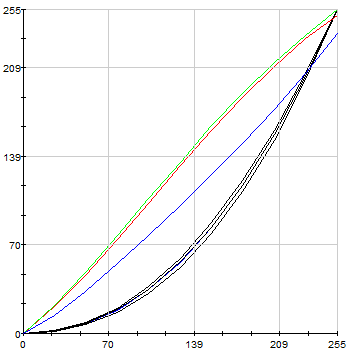
  Кроме привычного комплекта поставки, включающего зарядное устройство и набор брошюр, в коробке с HP Envy 6-1051er обнаружился внешний оптический привод HP SN-208BB. Следует признать, что в современных реалиях ежедневно привод оптических дисков нужен не то что не всем, а крайне малому количеству пользователей. Но всё же иногда он бывает нужен. Поэтому его наличие можно считать плюсом. С другой стороны, ничто в этом мире не бесплатно, в данном случае привод просто автоматически включается в стоимость ноутбука. Так что если он вам не нужен, имеет смысл выбирать конфигурации Envy 6, которые поставляются без него: есть шанс сэкономить. ⇡#Тестирование: дисплейБеда многих ультрабуков — недостаточно качественный дисплей. Проблема в том, что необходимые для них тонкие матрицы стоят дороже, и, уже потратившись на обеспечение нужных размеров, производители не торопятся платить еще больше — за приличную картинку. Возможно, в более дорогих конфигурациях Envy 6 — с процессором Core i7 и внешней графикой — могут быть установлены более дорогие матрицы. Но в нашем случае это была Chimei Innolux N156BGE-L41 Заявленные характеристики матрицы не впечатляют: углы обзора 20/45/45/45 (в/н/л/п), максимальная яркость составляет 200 кд/м2. Контрастность при этом заявлена на уровне 500:1 — несложно догадаться, что речь идет о динамической контрастности. Даже заявленные характеристики дают понять, что дисплей не блещет потрясающим качеством изображения. Наши измерения показали, что при максимальном уровне подсветки светимость белого поля составляет 174,3 кд/м2, при светимости чёрного поля в районе 1,8 кд/м2. Это даёт нам статическую контрастность порядка 96:1. Результат не впечатляющий, но и не провальный. Для сравнения: в протестированном ранее тонком (заметно более дорогом) 15-дюймовом ноутбуке Sony VAIO SE1V9R была установлена матрица с контрастностью 577:1. В то же время в подавляющем большинстве ноутбуков — и ультрабуков в частности — по-прежнему используются дисплеи с контрастностью менее 80:1. Измерения равномерности подсветки проводились после калибровки дисплея для двух уровней яркости — максимальной и половинной (100% и 50%). Равномерность яркости при уровне подсветки 100% и 50% Для оценки цветового охвата использовался колориметр Spyder4 из комплекта Spyder4Elite. График цветового охвата строился для цветовой координатной системы Lab. На изображениях зелёная кривая — график цветового охвата дисплея тестируемого ноутбука, белая — стандартное цветовое пространство sRGB. Цветовой охват невелик, особенно на темных оттенках. Справедливости ради стоит отметить, что результаты измерения лучше, чем для многих ультрабуков, побывавших у нас на тестировании. Исключением тут являются разве что немногочисленные тонкие ноутбуки, оборудованные IPS-матрицами. На иллюстрациях, приведённых ниже, изображены гамма-кривые (чёрные графики), полученные до и после калибровки дисплея, целевая гамма 2,2 (светло-синий график) и коррекция для каждого цвета (красный, синий, зелёный).    Также после калибровки была измерена зависимость цветовой температуры от уровня яркости при целевом значении 6500 K. Наши измерения показали, что при падении яркости подсветки цветовая температура стремительно растёт и при минимальном уровне подсветки достигает 13500 К.  Добавим к этому результаты измерения точности (48 оттенков) и равномерности цветопередачи, а также зависимости равномерности цветопередачи от координат точки экрана при яркости подсветки 50 и 100%. Равномерность цветопередачи при уровне подсветки 100% и 50% Как видно на следующей диаграмме, отклонение Delta E по многим оттенкам превышает граничное значение 3, до которого человеческий глаз неспособен уловить разницу, но в большинстве случаев отклонение не столь уж глобальное.  ⇡#Тестирование: звуковая подсистемаНа корпусе красуется логотип Beats Audio, что подразумевает неплохое качество звука. Специалисты компании, которая ныне принадлежит тайваньской HTC, поработали не только над динамиками, но и над софтверной частью, добавив собственный эквалайзер и надстройку Beats Audio, включающую три режима — Audio, Video и 3D. В предвкушении и без того интересного звучания перед первым знакомством с аудиосистемой Envy 6 программная надстройка нами была отключена. Звук при этом оказался чрезвычайно плоским, с невероятно узким частотным диапазоном. Первоначально сложилось ощущение, что при отключении Beats Audio программно ухудшаются характеристики, дабы разница от активирования фирменной надстройки была более заметной. Однако при попытке прослушивания той же композиции из сторонней ОС (Ubunu 12.04 Live) звучание оказалось аналогичным. При активировании надстройки Beats Audio в режиме Audio ситуация не сильно улучшилась, как, собственно, и при активировании режима 3D. Более или менее неплохое звучание оказалось лишь при активировании режима Video. Однако даже намёков на басы услышать не удалось — ударные звучат как хлопки в ладоши. С высокочастотным диапазоном ситуация лучше. Во время прослушивания периодически проскакивал треск, даже щелчок, причём виноваты тут не динамики, поскольку на аналоговом аудиовыходе эти артефакты также заметны. Максимальный уровень громкости довольно высок, поэтому для просмотра фильмов динамики сгодятся — если, конечно, под рукой нет ни наушников, ни внешней мультимедийной акустики, хотя бы даже недорогой. Тестирование качества звука на аналоговом выходе не удалось из-за довольно высокого уровня шумов. Интегрированный звук IDT 92HD91 в устройствах HP уже проверен временем и нередко показывал неплохие результаты. Но мы уже не первый раз сталкиваемся и с провальными результатами в устройствах HP. Суммируя вышесказанное: в предоставленном нам для тестирования образце HP Envy 6 качество звучания было неудовлетворительным. ⇡#Тестирование: уровень шума и тепловой режимВ целом ноутбук не просто тихий, а очень тихий. При работе с офисными документами, несложной графикой, прослушивании аудиофайлов и даже при просмотре Full HD видео зачастую уровень шума не превышает 30 дБА. Измерить конкретное значение нам не удалось, поскольку нижний предел используемого нами прибора составляет 30 дБА. Однако при более или менее серьёзной нагрузке на процессор обороты крыльчатки вентилятора растут и уровень шума довольно быстро подскакивает до 34,8 дБА. При сохранении нагрузки вентилятор со временем переключается на следующую скорость вращения, при которой уровень шума составляет 36,1 дБА. В большинстве случаев этот уровень и сохраняется при постоянной высокой нагрузке. Изредка, если процессор подолгу загружен на 100%, громкость подскакивает до внушительной отметки в 40,2 дБА. Это уже хорошо заметно даже в шумном офисном помещении. Однако уровень шума довольно быстро снижается при прекращении максимальной нагрузки на процессор. Что касается нагрева корпуса, то после стандартной процедуры прогрева — часового циклического запуска пакета 3DMark 2006 — температура рабочей области в зависимости от точки измерения составила 24-29 градусов Цельсия, а днища — 23-35 градусов. Разумеется, самая горячая область обнаружилась в районе процессора. ⇡#Тестирование: производительностьВ качестве оппонента был выбран ультрабук Lenovo IdeaPad U300s, основанный на процессоре Intel Core i5-2467M со встроенным видеоадаптером Intel HD 3000.  
  
  
  
 Очередная наглядная демонстрация того факта, что в новом, третьем поколении процессоры Core изрядно прибавили в производительности по сравнению с предыдущим, вторым поколением. Впрочем, в этом мы уже успели убедиться — а вот вопрос с энергопотреблением ноутбуков на новой платформе Intel по-прежнему не закрыт. ⇡#Тестирование: время автономной работыВ ноутбуке используется встроенный в корпус аккумулятор ёмкостью 43 Вт*ч. В корпус 15-дюймового ноутбука могла бы поместиться и достаточно крупная батарея. Немного странно, что в HP ограничились такой небольшой емкостью.  Несмотря на скромный запас энергии, HP Envy 6 работает от аккумулятора достаточно долго. В наиболее востребованных при мобильном использовании режимах он не отстает от Lenovo IdeaPad U300s, емкость батареи которого на четверть больше.  Правда, если сравнить Envy 6 с другим 15-дюймовым ультрабуком, Acer Aspire M3, то результаты несколько блекнут: последний способен проработать на час-другой дольше. ⇡#ВыводПятнадцатидюймовый ультрабук HP получился красивым, тонким и достаточно лёгким. Жесткость корпуса довольно высока, однако материалы оказались весьма маркими — темные металлические панели с невероятной скоростью собирают отпечатки пальцев и притягивают пыль. Клавиатура хороша, к ней есть лишь несколько мелких замечаний. Огромная сенсорная панель также весьма удобна в работе. Дисплей по качеству изображения несильно превосходит те, что используются в бюджетных моделях обычных ноутбуков. А звук, на который возлагались большие надежды, этих надежд не оправдал: по крайней мере в протестированном экземпляре уровень шума на аналоговом выходе был довольно высок, а в процессе проигрывания периодически проявлялся кратковременный треск. Производительность ноутбука довольно высока, при этом по длительности автономной работы HP Envy 6 не уступает 13-дюймовым ультрабукам, за что нужно благодарить матрицу с низким энергопотреблением. Греется ультрабук несильно, но и шумит негромко — при невысоких и средних нагрузках Envy 6 практически бесшумен. Что касается цены, то ее сложно назвать низкой: за уменьшенные габариты и массу придется доплатить. Впрочем, назвать эту доплату чрезмерно большой тоже не получится. Редакция 3DNews благодарит компанию «Графитек» за предоставленный в распоряжение нашей лаборатории измерительный комплекс Spyder4Elite и украинское представительство HP за предоставленный ультрабук HP Envy 6. 
						
							⇣ Содержание
						
			 Если Вы заметили ошибку — выделите ее мышью и нажмите CTRL+ENTER. | ||||||||||||||||||||||||||||||||||||||||||||||||||||||||||||||||||||||||||||||||||||||||||||||||||||||||||||||||||||||||||||||||||||||||||||||||||||||||||