Сегодня 29 января 2026
18+
MWC 2018 2018 Computex IFA 2018
реклама
Ноутбуки и ПК

Lenovo ThinkPad T430u — бизнес-ультрабук

⇣ Содержание

Ноутбуки бизнес-линейки Lenovo ThinkPad пользуются заслуженной популярностью среди пользователей, которые не гонятся за модой (можно даже сказать — нарочито не гонятся за модой) и требуют от ноутбука практичности, удобства, надёжности и производительности. Все эти качества в Lenovo попытались уместить в относительно недорогом — по сравнению с ThinkPadX1 Carbon — ультрабуке классической серии ThinkPad T, а именно в модели T430u.

Данный ультрабук — не самый тонкий из существующих, зато в некоторых конфигурациях использован дискретный видеоадаптер NVIDIA GeForce GT620M. Цены на такие версии начинаются с 30 тысяч рублей — конечно, не копейки, но все же и не совсем уж дорого. Осталось только понять, насколько ThinkPad T430u лучше или хуже тех альтернатив, которые предлагают конкуренты.

# Внешний вид и удобство использования

Внешний вид всех классических TinkPad — линейку Edge к ним, конечно же, не стоит относить — довольно мало меняется от модели к модели. Поэтому узнать ThinkPad можно издалека. Но узнаваемость — не главное, хотя владельцы «финков» любят их в том числе и за это. Во главе угла стоит удобство — это ноутбуки для выполнения любых повседневных задач, но с максимально возможным комфортом.

Разумеется, первый ультрабук серии T просто обязан быть удобным. Однако главное неудобство ощущаешь сразу, как только берешь его в руки: он довольно тяжелый 1,85 килограмма. Да и толщина корпуса не такая маленькая, как ожидаешь от устройства, которое кличут ультрабуком. И пусть формально в требования Intel для этой категории устройств T430u вписывается, но по сравнению со многими одноклассниками он толстоват.

К материалам претензий нет — днище и крышка ноутбука металлические, а качество всех пластиковых панелей весьма высоко. Кстати, их тут не много. Покрытие крышки — soft touch, а вот остальные панели просто шероховатые. Покрытие надёжное, повредить его не так просто.

Отпечатки на крышке собираются небыстро, но и оттирать их довольно сложно. При попытках скручивания корпус неожиданно охотно поддаётся и поскрипывает. Конечно, это не премиальный ThinkPad X1 Carbon, но всё же и не бюджетная модель — хотелось бы видеть у представителя серии T более жесткий корпус.

Клавиатура островного типа со скругленными нижними краями клавиш является объектом частого обсуждения на форумах. Кто-то считает это бесполезным дизайнерским изыском, кто-то — особенностью, нацеленной на удобство работы с клавиатурой. Из личных субъективных впечатлений можно отметить, что такая форма клавиш действительно удобнее. Поверхность клавиши не плоская, как в большинстве chicklet-клавиатур, а слегка вогнутая, повторяющая форму пальца.

Предусмотрена подсветка клавиш, но не внутренняя, как в большинстве других ноутбуков, а внешняя. В кромке дисплея расположен маленький диодный «фонарик», который подсвечивает не только клавиатуру, но и пространство вокруг ноутбука. Выглядит это не так эффектно, но во многих случаях может быть удобнее, чем внутренняя подсветка клавиш.

«Фонарик» прячется в небольшой нише справа от веб-камеры

Все кнопки полноразмерные, немного ужат по высоте только ряд функциональных клавиш, а также клавиши-стрелки. Но без недостатков, к сожалению, не обошлось. Основание клавиатурного блока недостаточно жесткое, оно прогибается при давлении. Ход клавиш, по субъективным ощущениям, довольно большой, однако кнопки не слишком шумные, а при нажатии момент срабатывания прекрасно чувствуется.

Устройство чтения отпечатков пальцев расположено на довольно неожиданном месте — не между кнопками тачпада, и даже не под клавишами-стрелочками. Вместо этого его поместили справа от клавиатурного блока.

Манипуляторов у ультрабука по старой доброй традиции два — сенсорная панель и трекпоинт, наличие которого для многих пользователей ноутбуков серии ThinkPad являлось одним из важных критериев выбора. Трекпоинт дополнен привычными тремя клавишами с большим и мягким ходом. А вот у «тачпада» клавишами являются его нижние углы, что не всегда удобно. Благодаря данной конструкции площадь сенсорной панели увеличена без вреда для общих габаритов устройства. Ход клавиш, интегрированных в сенсорную панель, короткий и довольно жёсткий, но неожиданно тихий, да и звук щелчка относительно мягкий.

На передней стороне корпуса конструкторы не стали размещать ничего полезного. А вот сзади есть сразу три интересных элемента: два цифровых видеовыхода — полноразмерный HDMI и компактный DisplayPort (кстати, аналогового VGA эта модель лишена), а также прикрытая заглушкой щель для сим-карты. В нашем случае она не актуальна, в протестированном ноутбуке нет сотового модема, но существуют и продаются 3G-версии ThinkPad T430u — среди ультрабуков это почему-то редкость.

Левая грань корпуса, как и передняя, не особенно загружена различными элементами. Устройство чтения карт памяти, вентиляционная решётка и разъём для замка безопасности — вот, собственно, и всё, что на ней есть.

Не слишком тесно и на правом боку ноутбука. Тут разместилась пара портов USB 3.0, сетевой RJ-45, разъем питания с индикатором, а также комбинированный аудиоразъём.

Несмотря на обилие пустующего пространства, конструкторы решили ограничиться всего лишь парой USB-портов, аудиоразъёмы объединили, видеовыход DisplayPort использовали в его миниатюрной версии, а аналогового видеовыхода не предусмотрели вовсе.

Всё днище ноутбука накрыто одной большой металлической крышкой, которая фиксируется лишь одним замком. Удивительно, но держится она весьма надёжно и при этом снимается невероятно просто. Для доступа ко всем комплектующим, скрытым под крышкой, уже понадобится отвёртка. Однако тот факт, что замена комплектующих, в том числе аккумулятора, возможна без обращения в сервисный центр, не может не радовать.

# Технические характеристики

Lenovo ThinkPad T430u
Экран 14,0 дюйма, 1366x768;
Технология TN, LED-подсветка (AU Optronics B140XTN02.5);
Матовое покрытие
Процессор Intel Core i3-3217U: 1,8 ГГц; 2x256 Кбайт L2; 3 Мбайт L3; два вычислительных ядра; TDP 17 Вт
Графика NVIDIA GeForce GT 620M, 1 Гбайт DDR3
Intel HD 4000, встроен в процессор
Автоматическое переключение графики NVIDIA Optimus
Набор микросхем Intel UM77
Оперативная память 4 Гбайт, DDR3-1600 (два разъема расширения)
Жесткий диск HDD 500 Гбайт, 7200 об/мин (Hitachi HTS725050A7E630)
Форм-фактор 2,5 дюйма, 7 мм
Свободный разъем для SSD в форм-факторе mSATA
Оптический привод -
Разъем флеш-карт SD/MMC
Интерфейсы 2 х USB 3.0
1 x HDMI
1 x Mini DisplayPort
1 x RJ-45
1 x комбинированный аудиоразъем (mini-jack 3,5 мм)
3G В некоторых конфигурациях
Wi-Fi 802.11b/g/n, 2x2, 2,4 ГГц (Intel Centrino Wireless-N 2230BGN)
Bluetooth 4.0
Сетевой адаптер 10/100/1000 Мбит/с (Realtek RTL8168/8111)
Звук Realtek ALC269
Два динамика, два микрофона
Батарея Несъемная, из трех плоских элементов
Номинальная емкость 47 Вт*ч (4250 мА*ч; 11,1 В)
Минимальная емкость 41,3 Вт*ч (3720 мА*ч; 11,1 В)
Заявленные размеры 340x236x21 мм
Заявленная масса 1,852 кг
Операционная система Windows 7 Professional SP1 (64 bit)
Гарантия 3 года
Примерная цена От 30 000 руб.

# Тестирование: дисплей

В ультрабуке установлена 14-дюймовая матрица AU Optronics B140XTN02.5 с матовой поверхностью и стандартным разрешением — 1366х768 точек. Сразу же бросаются в глаза малые углы обзора, но это далеко не единственный недостаток. Согласно заявлениям производителя матрицы, максимальная яркость составляет 200 кд/м2, а контрастность при этом заявлена на уровне 400:1. По результатам наших измерений, при максимальном уровне подсветки светимость белого поля составила 196,1 кд/м2, что весьма близко к заявленному. Однако светимость чёрного поля в тех же условиях достигает 2,63 кд/м2. Так что ни о каких 400:1 не может быть и речи — статическая контрастность составляет всего лишь 74:1.

Равномерность яркости при уровне подсветки 100% и 50% (после калибровки)

Цветовой охват дисплея Lenovo ThinkPad T430u составляет 63% от пространства sRGB. Мало, но в ноутбуках все еще принято ставить «блеклые» матрицы — даже многие более качественные экраны обладают узким охватом.

График цветового охвата в системе Lab. Зеленая линия — цветовой охват дисплея Lenovo ThinkPad T430u; белая — стандартное цветовое пространство sRGB

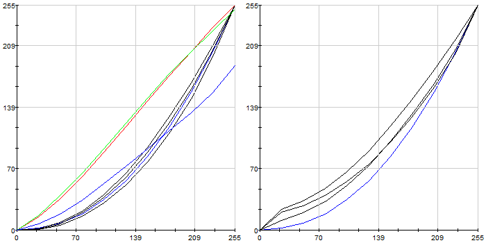
На иллюстрациях, приведённых ниже, изображены гамма-кривые (чёрные графики), полученные до и после калибровки дисплея, целевая гамма 2,2 (светло-синий график) и коррекция для каждого цвета (красный, синий, зелёный).

Цветовая температура градаций серого быстро растет при понижении яркости оттенка — дисплей очень холодный, настроить его в Lenovo даже не пытались.

Добавим к этому результаты измерения равномерности цветопередачи при яркости подсветки 50 и 100%.

Равномерность цветопередачи при уровне подсветки 100% и 50%

Как видно на следующей диаграмме, отклонение Delta E очень велико. По некоторым оттенкам оно даже выходит за рамки шкалы, предусмотренной создателями программного обеспечения Spyder4.

В общем, данный дисплей строго противопоказан для работы с графикой. Да и с текстом при столь низкой контрастности и узких углах обзора работать будет не особенно приятно. По большому счету, у экрана Lenovo ThinkPad T430u есть только одно достоинство — матовое покрытие. По всем остальным параметрам сплошные минусы. В не самом, мягко говоря, дешевом ультрабуке можно было использовать и более приличную матрицу.

# Тестирование: звуковая подсистема

Под декоративной решёткой, рядом с основанием экрана установлена пара крохотных, маломощных динамиков. На максимальной громкости они захлёбываются на басе и особенно на ударных — искажения исчезают лишь на 3/4 от максимального уровня звучания. Также среди недостатков динамиков ThinkPad T430u — довольно узкий частотный диапазон и слабая детализация звука. В общем, получить удовольствие от прослушивания любимых музыкальных композиций с их помощью не получится. Однако для просмотра учебного или рекламного (вы же часто это делаете, да? — прим. ред.) видеоматериала динамики вполне сгодятся.

Звуковой тракт ультрабука основан на Realtek ALC269. Этот кодек был представлен уже достаточно давно, но до сих пор является лидером в области ноутбучного звука. Конечно, уже существуют решения, которые способны обеспечить реальное, а не заявленное соотношение сигнала и шума около 105 дБА, но всё же общая звуковая картина у старичка ALC269 пока ещё лучшая, и подтверждением тому является наибольшее количество высших оценок в бенчмарке RMAA.

К сожалению, провести исследование аудиотракта при помощи звукового интерфейса Creative E-MU 0202 USB в этот раз по техническим причинам не удалось. Приводить полные результаты тестирования, полученные при помощи интегрированной звуковой карты, мы не станем — достаточно будет отметить, что ноутбук заработал итоговую оценку отлично.

# Тестирование: уровень шума и тепловой режим

Нередко ультрабуки практически бесшумны при минимальных нагрузках, например при работе с офисными пакетами либо прослушивании музыки и просмотре лёгких видеороликов. Однако под высокой нагрузкой они зачастую показывают свой настоящий «голос», который по громкости может соперничать с шумом игровых ноутбуков.

Но у системы охлаждения ThinkPad T430u немного иной характер. Даже в режиме простоя ультрабук чуть-чуть шумит — хотя уровень шума при измерении в 50 см от центра переднего края составляет всего 32,4 дБА, что совершенно не мешает работе даже в тихом помещении. Однако уже при средних нагрузках крыльчатка довольно быстро раскручивается до второй скорости, при которой громкость достигает отметки 34,3 дБА. Это также немного, но в тихом помещении уже заметно.

Радует то, что даже при максимальной нагрузке при температуре окружающей среды +21 градус Цельсия крыльчатка больше не разгоняется. Из недостатков алгоритма работы активной составляющей охлаждающей системы можно отметить разве что быструю смену скоростей вращения крыльчатки, ведь если бы изменение уровня шума на 2 дБА происходило плавно, то пользователь в процессе работы вообще не замечал бы изменений.

Стремление снизить уровень шума не лучшим образом отразилось на температурном режиме. Конечно, температура компонентов не зашкаливает и находится в пределах нормы, но корпус разогревается прилично. Замер уровня нагрева производится при комнатной температуре (+21 градус Цельсия) для 9 точек днища и 9 точек рабочей области. После часового циклического запуска пакета 3DMark 06 температура рабочей области в зависимости от точки измерения составила 25–34 градуса Цельсия, а днища — 29–35 градусов.

Это не самый высокий уровень нагрева, который мы встречали в ультрабуках, но всё же греется ThinkPad T430u чуть выше среднего, чего вполне можно было избежать при немного более шумных настройках системы охлаждения.

# Тестирование: производительность

В качестве оппонента было решено взять похожий по характеристикам ультрабук Fujitsu UH572, который построен на базе Intel Core i5-3317U с интегрированным видео. Конечно, у героя материала, в отличие от модели Fujitsu, есть хоть и не слишком мощный, но всё же дискретный видеоадаптер. Впрочем, и у оппонента есть преимущество: он оснащен более производительным процессором и связкой накопителей, состоящей из классического «винчестера» и кеширующего SSD, тогда как протестированный нами ThinkPad T430u может похвастаться лишь традиционным HDD объемом 500 Гбайт (есть и более продвинутые конфигурации с SSD ёмкостью 128 Гбайт, но они существенно дороже).


Lenovo ThinkPad T430uFujitsu Lifebook UH572
PCMark05 6337 7901
CPU 5715 7853
Memory 5071 6436
Graphics 4655 4361
HDD 7606 6166
PCMark 7Lenovo ThinkPad T430uFujitsu Lifebook UH572
PCMark Score 2184 2598
Lightweight 1708 1865
Productivity 1204 1459
Creativity 4257 5427
Entertainment 2275 2580
Computation 8472 16202
System storage 1746 1573
3DMark 2006Lenovo ThinkPad T430uFujitsu Lifebook UH572
3DMark Score, 3DMarks 7415 4599
GT1 — Return To Proxycon, FPS 27,153 11,821
GT2 — Firefly Forest, FPS 26,368 12,850
CPU Score, CPUMarks 2244 2954
CPU Test 1, FPS 0,725 0,939
CPU Test 2, FPS 1,112 1,486

Также было проведено измерение производительности в современном кроссплатформенном бенчмарке 3DMark 1.0, который в текущей версии лишён обозначения именем, годом либо цифровым индексом. Назовём его условно 3DMark 2013. К сожалению, тестирование оппонента в данном пакете не проводилось, поэтому приведём лишь данные по испытуемому.

3DMark 2013ScoreGraphics ScorePhysics Score
Ice Storm 39284 52130 21093
Cloud Gate 3517 4856 1790
Fire Strike 642 690 2477

Как видите, NVIDIA GeForce GT 620M обеспечивает вполне ощутимую прибавку производительности по сравнению с интегрированными адаптерами Intel.

# Тестирование: время автономной работы

Несмотря на довольно суровую толщину корпуса и немалую массу, ожидать высокой емкости аккумулятора или хотя бы возможности его оперативной замены в данном случае не стоит. Тонкий 3-элементный аккумулятор ёмкостью 47 Вт*ч традиционно для ультрабуков не имеет корпуса и установлен так, что поменять его на ходу не получится. Однако, в отличие от большинства тонких моделей, в ThinkPad T430u до батареи довольно легко добраться, открутив всего несколько винтов. Так что с заменой вышедшего из строя или «уставшего» от долгой жизни аккумулятора можно справиться самостоятельно, не обязательно обращаться в сервисный центр.

Обратная сторона низкого качества изображения использованного в ThinkPad T430u дисплея — его невысокое энергопотребление. Оно позволяет оснащенному не самым емким аккумулятором и лишенному SSD ноутбуку довольно долго работать от одного заряда батареи. Конечно, хочется, чтобы он работал еще дольше, — но это общее желание владельцев всех без исключения тонких ноутбуков.

# Вывод

Зачастую ноутбуки бизнес-серий ThinkPad оставляют весьма приятные впечатления, поэтому по поводу T430u у нас были, возможно, завышенные ожидания. Однако минусов у первого бизнес-ультрабука Lenovo оказалось больше, чем хотелось бы. Во-первых, стоит отметить корпус, который обладает недостаточно высокой жёсткостью и при попытках скручивания весьма активно потрескивает. Во-вторых, клавиатура оказалась довольно податливой, её основание прогибается при сильном давлении на центральные клавиши.

Но это всё мелочи — настоящим разочарованием стал дисплей. К недостаткам матрицы стоит отнести невысокую максимальную яркость, очень низкую контрастность, посредственную цветопередачу и узкие углы обзора. Спасибо, хоть матовый.

Длительность автономной работы средняя, поэтому её нельзя причислить ни к недостаткам, ни к достоинствам ультрабука. В общем, из плюсов у T430u есть только неплохая производительность видеоподсистемы, два манипулятора (сенсорная панель и трекпоинт), а также классический дизайн линейки ThinkPad, но в тонком корпусе. Тонком, но не таком уж и легком — по сравнению с ThinkPad X1 Carbon эта модель тяжелее на целых полкило.

Редакция 3DNews благодарит компанию «Графитек» за предоставленный в распоряжение нашей лаборатории измерительный комплекс Spyder4Elite и украинское представительство Lenovo за предоставленный ноутбук Lenovo ThinkPad T430u

 
 
⇣ Содержание
Если Вы заметили ошибку — выделите ее мышью и нажмите CTRL+ENTER.

window-new
Soft
Hard
Тренды 🔥
Ubisoft подтвердила The Division Definitive Edition — это не ремастер 2 ч.
Главы Агентства кибербезопасности США слил служебные документы в ChatGPT — теперь ИИ использует их для обучения 4 ч.
«Средневековая Богемия ещё никогда не была такой красивой»: PS Store «засветил» подробности ремастера Kingdom Come: Deliverance для PS5 12 ч.
Google заплатит $135 млн за тайный сбор данных пользователей Android и больше не будет «шпионить» без спроса 14 ч.
Литовский маркетплейс рассекретил статуэтку по ремейку Assassin’s Creed IV: Black Flag — Ubisoft отреагировала мемом из GTA: San Andreas 14 ч.
Открытая игра без открытого мира: новые подробности амбициозного ролевого боевика Control Resonant от создателей Alan Wake 2 15 ч.
Microsoft улучшила бесшовный перенос приложений между Android и Windows 11 16 ч.
План «Б» для стареющего Linux: у сообщества появился план на случай ухода Линуса Торвальдса 16 ч.
Спустя почти год CD Projekt Red вернула карточную ролевую игру «Кровная вражда: Ведьмак. Истории» на iOS и Android 17 ч.
Google: хакеры до сих пор активно используют уже закрытую уязвимость WinRAR для взлома Windows 17 ч.
Samsung утроила квартальную прибыль до рекордных $14 млрд, но по итогам года впервые уступила SK hynix 13 мин.
Microsoft построит в Висконсине третий «самый передовой» ИИ ЦОД в мире по проекту Fairwater 2 ч.
Продажи электромобилей рухнули: Tesla впервые в истории отчиталась о падении годовой выручки 3 ч.
SK hynix превратит бывший флеш-бизнес Intel в ИИ-гиганта: в новое подразделение в США вложат $10 млрд 6 ч.
Новая статья: Обзор и тестирование корпуса MSI Velox 300R AirFlow PZ 9 ч.
Apple попытается удержать iPhone 18 от подорожания, несмотря на глобальный дефицит памяти 10 ч.
Новая статья: Обзор HUAWEI WiFi Mesh X3 Pro: маршрутизатор как арт-объект 10 ч.
SK hynix создала на базе Solidigm американскую «дочку» для инвестиций в ИИ-решения 11 ч.
Японская ракета потеряла спутник по пути на орбиту — он просто свалился с неё 13 ч.
Cooler Master показала огромную СЖО для 2000-Вт чипов — у неё четыре 180-мм вентилятора 13 ч.