Сегодня 28 января 2026
18+
MWC 2018 2018 Computex IFA 2018
реклама
Ноутбуки и ПК

Fujitsu Lifebook UH572: закон сохранения денег

⇣ Содержание

Не так давно на тестировании у нас побывал тонкий и яркий Fujitsu Lifebbok U772, ориентированный на корпоративный сегмент. Ультрабук в целом показал себя весьма неплохо: он действительно тонкий, легкий, с датчиком отпечатков пальцев и док-станцией в комплекте. Но старшая модель не всем по карману.

Fujitsu Lifebook UH572 не такой дорогой — по стоимости он соизмерим с наиболее доступными ультрабуками, и пусть «лайфбук» немного толще и тяжелее, но у него есть встроенный 3G-модем, чем могут похвастаться далеко не все коллеги по цеху. Кстати, доступ к слоту установки SIM-карт даже удобнее, чем в случае старшей модели.

# Внешний вид и удобство использования

Ноутбук не самый тонкий в классе, но тут стоит отметить, что гонка за каждым миллиметром выглядит не очень разумно — острой необходимости в ещё меньшей толщине корпуса нет. А уж на толщину по краям, которой так любит щеголять Apple (см. новый iMac, например), и вовсе не стоит обращать внимания.

Помимо серо-черной, имеется более яркая красная версия

Большая часть корпусных панелей изготовлена из пластика, но крышка — металлическая. Качество сборки высокое. Несмотря на малую толщину, даже если приложить серьёзные усилия при скручивании, корпус удаётся прогнуть лишь немного. При этом никакого скрипа или треска нет, хотя заметно, что имеется небольшой люфт крепления основания клавиатуры, но об этом чуть позже.

Серебристая крышка совершенно не боится отпечатков, да и потёртости ей не страшны, днище также стойко переносит даже весьма небрежную эксплуатацию. А вот панели рабочей области собирают отпечатки довольно быстро, хотя вытирать их проще простого, ведь поверхность не глянцевая, а матовая.

Клавиатурный блок с клавишами островного типа такой же, как и в большинстве компактных моделей ноутбуков Fujitsu. Практически этот же блок мы уже видели в недавно рассмотренном Fujitsu Lifebook U772. Однако есть небольшие отличия, не слишком приятные: основание клавиатуры закреплено недостаточно хорошо, так что имеет место небольшой люфт, к тому же при сильном давлении на одну из клавиш немного проседают и соседние.

Но в остальном клавиатура удобна — ход клавиш средней жёсткости, шум срабатывания едва заметен, а нажатия чувствуются очень хорошо. Поэтому набирать даже большие тексты на этом небольшом ноутбуке достаточно удобно.

Сенсорная панель размером 98х60 мм бескнопочная, то есть с одной общей кнопкой. Её ход довольно жёсткий, а момент срабатывания чувствуется хорошо, но при нажатии она издает довольно громкий щелчок, что немного отвлекает при работе с ноутбуком в тихом помещении.

На передней стороне корпуса нет никаких функциональных элементов. Всю заднюю сторону занимает череда вентиляционных решеток и петли крышки.

Слева находятся порт HDMI, два порта USB 3.0 и стандартный мини-джек для наушников.

Справа расположены устройство чтения карт памяти, скрытая резиновой заглушкой щель для SIM-карты, один порт USB 2.0 и разъем питания.

# Технические характеристики

Fujitsu Lifebook UH572
Экран 13,3 дюйма, 1600x900
Технология TN (LG LP133WH2-TLM3)
LED-подсветка, матовое покрытие
Процессор Intel Core i5-3317U: 1,7 ГГц (до 2,6 ГГц в режиме Turbo Boost); 2x256 Кбайт L2; 3 Мбайт L3; два вычислительных ядра
Набор микросхем Intel HM76
Графический контроллер Intel HD 4000, встроен в процессор
Оперативная память 4 Гбайт, DDR3-1600 (два разъема расширения)
Жесткий диск HDD 500 Гбайт + SSD 32 Гбайт
Оптический привод Отсутствует
Разъем флеш-карт SD/MS
Интерфейсы 2 х USB 3.0
1 х USB 2.0
1 x HDMI
1 x выход на наушники (mini-jack 3,5 мм)
3G + (Sierra Wireless — Qualcomm Gobi 3000)
Wi-Fi 802.11b/g/n 2,4 ГГц 2x2 (Intel Centrino Advanced-N 2230)
Bluetooth 4.0 (Intel Centrino Advanced-N 2230)
Сетевой адаптер Внешний, с интерфейсом USB, 10/100 Мбит/с (ASIX AX88772B)
Звук Realtek ALC269
два динамика, микрофон
Батарея Из плоских элементов
Емкость 42 Вт*ч (2840 мА*ч, 14,8 В)
Размер 323x234x18 мм
Масса 1,57 кг
Операционная система Windows 7 Professional SP1 (64 bit)
Гарантия 12 месяцев
Цена От 25 000 руб.

Комплект поставки включает крошечное зарядное устройство, руководство пользователя, диск с утилитами и электронной версией руководства, два DVD восстановления ОС, а также сетевой адаптер USB-Fast Ethernet. Адаптер гордо несёт на спине логотип Fujitsu, но на самом деле это ASIX AX88772B USB 2.0 to Fast Ethernet Adapter, который можно встретить и в комплекте с другими ультрабуками, например ASUS Zenbook.

# Тестирование: дисплей

В ноутбуке установлена сравнительно недорогая матрица LG LP133WH2 с диагональю 13,3 дюйма. Разрешение стандартное — 1366x768. Поверхность матрицы матовая, что позволяет комфортно работать даже при сильной боковой или задней засветке, не рассматривая постоянно своё отражение.

При максимальной яркости подсветки измерение светимости белого поля дало результат в 204,5 кд/м2. Однако светимость чёрного поля оказалась излишне высокой — 2,8 кд/м2. Следовательно, статическая контрастность составляет 73:1 — показатель рядового бюджетного ноутбука.

Измерения равномерности подсветки проводились после калибровки дисплея для двух уровней яркости — максимальной и половинной (100% и 50%).

Равномерность яркости при уровне подсветки 100% и 50%

Для оценки цветового охвата использовался колориметр Spyder4 из комплекта Spyder4Elite. График цветового охвата строился для цветовой координатной системы Lab. На изображениях зелёная кривая — график цветового охвата дисплея тестируемого ноутбука, белая — стандартное цветовое пространство sRGB.

Цветовой охват невелик: 57% от sRGB или 43% от AdobeRGB. Для обработки фотографий дисплей не годится, но для просмотра фото и видео вполне подойдёт. Конечно, если предварительно провести калибровку — по умолчанию корректность цветопередачи оставляет желать лучшего.

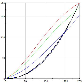
На иллюстрациях, приведённых ниже, изображены гамма-кривые (чёрные графики), полученные до и после калибровки дисплея, целевая гамма 2,2 (светло-синий график) и коррекция для каждого цвета (красный, синий, зелёный).

Также после калибровки была измерена зависимость цветовой температуры от уровня яркости при целевом значении 6500 K.

При падении яркости цветовая температура стремительно растёт и при минимальном уровне достигает 10500 К.

Добавим к этому результаты измерения точности (для 48 оттенков) и равномерности цветопередачи при яркости подсветки 50 и 100%.

Равномерность цветопередачи при уровне подсветки 100% и 50%

Отклонение Delta E по многим оттенкам превышает граничное значение 3, до которого человеческий глаз совершенно неспособен уловить разницу.

В общем, качественной картинки от дисплея Fujitsu Lifebook UH572 ждать не стоит. Плюс у экрана данного ультрабука ровно один — матовая поверхность. (Похоже, установка очень слабенького и, вероятно, недорогого дисплея позволила окупить затраты на сравнительно дорогой процессор. прим. ред.)

# Тестирование: звуковая подсистема

В ноутбуке установлена пара крошечных динамиков, которые даже теоретически не могут обеспечить качественное звучание. Попытка прослушивания нескольких аудиокомпозиций обернулась полным разочарованием: крайне узкий частотный диапазон, высокие частоты замещаются шипением, звуковая картина нечёткая, поэтому даже учебные материалы воспринимать сложно, не говоря уже о фильмах и тем более музыке. В общем, для озвучивания действий ОС подойдёт, а для остального желательно использовать внешнюю акустическую систему либо наушники.

Тем более что с качеством звука на аналоговом выходе нет никаких проблем: Lifebook UH572 получил хорошие оценки в тесте. И это не удивительно, ведь звуковой тракт построен на базе Realtek ALC269, который традиционно лидирует по количеству максимальных оценок в бенчмарке RightMark Audio Analyzer с хорошим отрывом от ближайших конкурентов. Кодек уже многие годы не подводит и крайне редко показывает провальные результаты.

Общие результаты
Неравномерность АЧХ (в диапазоне 40 Гц — 15 кГц), дБ +0,05, -0,36 Хорошо
Уровень шума, дБ (А) -93,4 Очень хорошо
Динамический диапазон, дБ (А) 93,4 Очень хорошо
Гармонические искажения, % 0,018 Хорошо
Гармонические искажения + шум, дБ(A) -72,4 Средне
Интермодуляционные искажения + шум, % 0,022 Хорошо
Взаимопроникновение каналов, дБ -87,9 Отлично
Интермодуляции на 10 кГц, % 0,018 Очень хорошо
Общая оценка Очень хорошо
Частотная характеристика
От 20 Гц до 20 кГц, дБ -1,30, +0,05
От 40 Гц до 15 кГц, дБ -0,36, +0,05
Уровень шума

Левый Правый
Мощность RMS, дБ -92,5 -82,5
Мощность RMS, дБ (A) -93,9 -92,8
Пиковый уровень, дБ -79,6 -73,5
Смещение DC, % -0,0 -0,0

В итоге характеристики оказались близкими к значениям, заявленным производителем. Более того, среди ноутбуков, побывавших у нас на тестировании, уровень шума у Lifebook UH572 — самый низкий.

# Тестирование: уровень шума и тепловой режим

Днище ноутбука усеяно множеством вентиляционных отверстий, да и на задней стороне вентиляционных решёток предостаточно, поэтому теоретически с охлаждением все должно быть в порядке. Поначалу ноутбук действительно показался тихим — вентилятор совершенно не слышно в режиме простоя или при стандартной офисной нагрузке. Уровень шума в таком режиме использования меньше 30 дБА, нижнего предела нашего прибора.

Однако периодически вентилятор всё же раскручивается до второй скорости, громкость шума в этом случае достигает отметки 33,0 дБА. Конечно, это заметно лишь в тихой комнате, но всё же при температуре окружающей среды лишь 21 градус Цельсия таких скачков при невысоких нагрузках слышать не хочется.

При высоких нагрузках скорость вращения очень плавно увеличивается, в результате чего уровень шума возрастает до 38,6 дБА. При длительных серьезных нагрузках он достигает своего максимума — 40,8 дБА. Так что, несмотря на обилие вентиляционных отверстий, ровное днище и частично алюминиевый корпус, ультрабук далеко не тихий: по этой части он уступает многим конкурентам.

Замер уровня нагрева производится при комнатной температуре (+21 градус Цельсия) для 9 точек днища и рабочей области. После часового циклического запуска пакета 3DMark’06 температура рабочей области в зависимости от точки измерения составила 27–38 градусов Цельсия, а днища — 28–41 градус.

Среди всех протестированных нами ультрабуков Lifebook UH572 оказался самым горячим. Конечно, отличие от общей массы не такое уж и значительное, но всё же некоторые зоны днища избыточно греются. Это не так страшно при работе с ноутбуком на столе, но если поставить его на колени, то лишние градусы хорошо ощущаются. Особенно пугает перспектива плотного общения с этим ультрабуком в жаркую погоду.

# Тестирование: производительность

В качестве оппонента был выбран 14-дюймовый ультрабук HP Envy 14 Spectre, оборудованный таким же процессором, что и герой материала. Вот только дисковая система конкурента основана на полноценном SSD объемом 128 Гбайт, поэтому наш сегодняшний гость оказался в целом менее быстрым (и еще тут чуть сэкономили. — прим. ред.).

PCMark 2005 HP Envy Spectre Fujitsu Lifebook UH572
PCMark 12147 7901
CPU 7678 7853
Memory 6174 6436
Graphics 4222 4361
HDD 58713 6166
PCMark 7 HP Envy Spectre Fujitsu Lifebook UH572
PCMark Score 4696 2598
Lightweight 4120 1865
Productivity 3621 1459
Creativity 8352 5427
Entertainment 3466 2580
Computation 16893 16202
System storage 5170 1573

# Тестирование: время автономной работы

Как и во всех ультрабуках, в Fujitsu Lifebook UH572 использован аккумулятор, состоящий из плоских элементов питания. Емкость батареи невелика — 42 Вт*ч, так что время автономной работы не самое выдающееся.

# Вывод

На момент написания обзора розничная цена Fujitsu Lifebook UH572 стартовала с отметки около 25 000 рублей. Весьма неплохое предложение, особенно если учесть, что ультрабук основан на процессоре Intel Core i5-3317U и поддерживает установку 3G-модуля. Однако наш подопытный, как, впрочем, и любой другой мобильный компьютер, — это не только сухие характеристики производительности и стоимости, но и масса прочих параметров, важных для пользователя. Поэтому сразу перечислим достоинства и недостатки устройства.

Среди положительных особенностей Lifebook UH572 — интересный и одновременно строгий дизайн корпуса, качественные материалы и сборка, удобная клавиатура, хорошее качество звука на аналоговом аудиовыходе, а также поддержка 3G-модема, о которой уже было сказано выше.

Но вот Ethernet-порта у данного ультрабука нет, поэтому при использовании проводной сети приходится занимать комплектным переходником один USB-порт. Внешние дисплеи можно подключить только к HDMI-порту, хотя у многих ультрабуков есть ещё и второй видеовыход — либо D-Sub (VGA), либо DisplyPort. Также стоит отметить слабенькие характеристики дисплея (впрочем, это является нормой для сравнительно недорогих ультрабуков), простейшие встроенные динамики, а также довольно высокий уровень шума при максимальных нагрузках и ощутимо нагревающийся корпус. В общем, недорого и мощно просто так не бывает. Но это не делает Fujitsu Lifebook UH572 плохим ультрабуком.

Редакция 3DNews благодарит компанию «Графитек» за предоставленный в распоряжение нашей лаборатории измерительный комплекс Spyder4Elite и украинское представительство Fujitsu за предоставленный ультрабук Fujitsu Lifebook UH572.

 
 
⇣ Содержание
Если Вы заметили ошибку — выделите ее мышью и нажмите CTRL+ENTER.

window-new
Soft
Hard
Тренды 🔥
«Средневековая Богемия ещё никогда не была такой красивой»: PS Store «засветил» подробности ремастера Kingdom Come: Deliverance для PS5 11 мин.
Sony добавила в февральскую подборку PS Plus четыре игры вместо трёх, но фанаты всё равно не рады 2 ч.
Google заплатит $135 млн за тайный сбор данных пользователей Android и больше не будет «шпионить» без спроса 3 ч.
Литовский маркетплейс рассекретил статуэтку по ремейку Assassin’s Creed IV: Black Flag — Ubisoft отреагировала мемом из GTA: San Andreas 3 ч.
Открытая игра без открытого мира: новые подробности амбициозного ролевого боевика Control Resonant от создателей Alan Wake 2 4 ч.
Microsoft улучшила бесшовный перенос приложений между Android и Windows 11 5 ч.
План «Б» для стареющего Linux: у сообщества появился план на случай ухода Линуса Торвальдса 5 ч.
Спустя почти год CD Projekt Red вернула карточную ролевую игру «Кровная вражда: Ведьмак. Истории» на iOS и Android 5 ч.
Google: хакеры до сих пор активно используют уже закрытую уязвимость WinRAR для взлома Windows 5 ч.
Настольный Microsoft Excel получил режим ИИ-агента — он сам заполняет таблицы, исправляет формулы и не только 5 ч.
Японская ракета потеряла спутник по пути на орбиту — он просто свалился с неё 51 мин.
Cooler Master показала огромную СЖО для 2000-Вт чипов — у неё четыре 180-мм вентилятора 59 мин.
В 2025 году электромобили впервые обогнали по продажам автомобили с ДВС в Европе 3 ч.
Недорогая разработка японских учёных превратила смартфон в точный детектор радиации 3 ч.
В России начались продажи смартфонов Redmi Note 15 4 ч.
Идея полувековой давности вдохновила на реалистичный проект дата-центра на орбите 4 ч.
Обзоры AMD Ryzen 7 9850X3D — действительно самый быстрый игровой CPU, но разница с Ryzen 7 9800X3D минимальная 4 ч.
Подглядеть не получится: Samsung сделает уведомления на экране смартфона невидимыми для посторонних 4 ч.
TD Cowen: американские банки расхотели давать в долг Oracle из-за её сделок с OpenAI 5 ч.
Магазины в США начали убирать модули DDR5 и видеокарты из витринных ПК, потому что их теперь часто воруют 6 ч.