Сегодня 28 января 2026
18+
MWC 2018 2018 Computex IFA 2018
реклама
Ноутбуки и ПК

Sony VAIO DUO 11 — гибридный ноутбук

⇣ Содержание

Своё новое творение в Sony нарекли не ультрабуком, не трансформером, а именно гибридным ноутбуком — хотя общего с классическим ноутбуком у DUO 11 немного. Это решение является очередной реализацией «два в одном», то есть ноутбука и планшета в одном корпусе. Вариаций на данную тему с приходом Windows 8 появилось множество — это и привычные ноутбуки-трансформеры, и обычные ультрабуки, но с «прикрученным» сенсорным дисплеем, и разнообразные перевёртыши вроде Lenovo IdeaPad Yoga и Dell XPS 12 Convertible Ultrabook, и планшеты со съёмной клавиатурой — ASUS VivoTab и Samsung ATIV Smart PC.

Sony VAIO Duo 11 принадлежит еще к одному варианту сенсорных устройств: это слайдер. Форм-фактор, прямо скажем, не самый популярный среди производителей компьютеров на Windows: навскидку удаётся вспомнить лишь две альтернативы — это MSI Slider S20 и Toshiba Satellite U925T. В общем, дорогие производители наплодили уйму разных версий «ноутбукопланшетов», и теперь покупателю приходится крепко подумать, какой из них выбрать и нет ли в чем подвоха. Конечно, при том условии, что он вообще собирается приобщиться к сенсорным чудесам в стиле Windows.

#Внешний вид и удобство использования

Если исходить из внешности, то это скорее планшет с выдвижной клавиатурой, нежели ноутбук, который умеет превращаться в «таблетку». Дисплей не переворачивается, а просто выезжает и одновременно приподнимается. Схожая система была использована в аппарате двухлетней давности ASUS Slider SL101, который был основан на ARM-процессоре и операционной системе Android.

У конструкции есть три недостатка. Во-первых, дисплей в транспортном положении ничем не прикрыт, поэтому для переноски всё же не помешает чехол — конечно, защитное стекло на дисплее прочное, но, скажем, олеофобное покрытие на нем куда более нежное. Во-вторых, существенная часть пространства занята механизмом слайдера, что мешает установить полноразмерную клавиатуру либо полноценную сенсорную панель, как в слайдере Toshiba. В-третьих, положение дисплея может быть только одним, регулировать наклон экрана нельзя. Этот недостаток не так уж критичен, ведь в устройстве использована IPS-матрица с широкими углами обзора.

Механизм раскрытия настроен таким образом, что пользователю достаточно лишь немного потянуть за небольшой выступ наверху скользящей части DUO 11, а встроенные в опору дисплея пружины самостоятельно подтянут дисплей на положенное место. В общем, это быстро и удобно. Однако, раскрыв планшет, пользователь может обнаружить ещё один недостаток — шлейфы дисплея не проложены в корпусе, а висят в воздухе. Конечно, их закрывает большая подпорка, но всё же подобное решение немного настораживает.

В то же время у такой конструкции есть один неоспоримый плюс — жёсткая фиксация позволяет комфортно работать с сенсорным экраном в режиме ноутбука, то есть одновременно использовать преимущества классического и сенсорного управления. У большинства других трансформеров и просто сенсорных ноутбуков комфортной работе с сенсорным слоем мешает тот факт, что при нажатии на экран крышка может откинуться. В VAIO DUO 11 данный недостаток полностью отсутствует.

Корпус «гибрида» изготовлен из пластиковых и металлических деталей. Сборка исключительно качественная, к тому же корпус обладает чрезвычайно высокой жёсткостью на кручение, поэтому при попытках сдавливания и скручивания, несмотря на минимальную толщину, он практически не поддаётся и не издаёт никаких звуков.

Клавиатура традиционного для Sony островного типа, но не полноразмерная, а слегка уменьшенная из-за ограничений конструкции. Вообще, в этом отношении VAO DUO 11 сильно напоминает «карманный нетбук» Sony VAIO P, который побывал у нас на тестировании пару лет назад. Клавиатуры не идентичны, но похожи. Скажем, ширина литерной клавиши составляет те же 13,5 мм. На первый взгляд минус 2 миллиметра — не такая уж большая разница, но для слепого десятипальцевого набора всё же необходимо денёк-другой потренироваться.

Основание клавиатуры чрезвычайно жесткое, «железобетонное», даже при очень сильном давлении на любую из клавиш оно ни капли не прогибается. Жёсткость хода клавиш отличная, да и момент срабатывания прекрасно чувствуется, хотя эти оценки сугубо субъективны. А вот низкий уровень шума при печати — оценка волне объективная. Нельзя не отметить и отличную подсветку клавиш: она равномерна, а её яркости достаточно для работы при любом освещении.

Манипулятор — еще одна деталь, которая напоминает о VAIO P. Элемент управления внешне похож на трекпоинт, но он не механический, а оптический. Для точного управления при помощи данного манипулятора необходимо потренироваться, но всё же в работе он весьма удобен и не крадёт ценное пространство у клавиатуры. Клавиши манипулятора обладают довольно мягким и тихим, но очень коротким ходом, поэтому момент срабатывания чувствуется плохо.

Толщина корпуса невелика, особенно если не считать верхнюю часть, в которую встроен дисплей. Тем не менее конструкторам удалось совершить невозможное: портов в VAIO DUO 11 гораздо больше, чем во многих устройствах покрупнее. Единственная свободная от разъемов сторона корпуса — передняя. На ней поместились только светодиодные индикаторы, а на скосе расположен ряд кнопок, которые будут полезны в планшетном режиме.

Сзади между многочисленными вентиляционными отверстиями находится разъем питания, а также — вы не поверите! — самый настоящий RJ-45. Само собой, он имеет раздвижную конструкцию, монолитный разъем в такой тонкий корпус вообще бы не поместился.

Справа расположена клавиша включения, полноразмерный (!) разъем HDMI, а также пара портов USB 3.0.

Слева находятся аудиоразъём, устройство чтения карт памяти, традиционно поддерживающее специфические форматы MemoryStick в дополнение к всевозможным SD, а также аналоговый видеовыход, выполненный в виде стандартного разъема D-Sub. Несмотря на то, что данный видеоинтерфейс уже порядком устарел, он до сих пор остается гарантией того, что к ноутбуку можно подключить абсолютно любой проектор. Так что для тех, кто часто проводит презентации на арендованном оборудовании, его наличие будет чрезвычайно важным.

Свободного пространства в DUO 11 явный дефицит, поэтому пустым не осталось даже днище. На скосе, переходящем в переднюю грань, разместилась пара небольших динамиков, а также клавиши управления громкостью, вызова меню VAIO Assist и клавиша блокировки автоматического переворота изображения, которые удобно использовать в режиме планшета. В центре, под резиновой заглушкой скрыт разъём подключения внешнего аккумулятора. На дальнем от пользователя крае находится тыльная фотокамера. Кроме того, на этой стороне корпуса расположена антенна NFC.

#Технические характеристики

Sony VAIO DUO 11
Экран 11,6 дюйма, 1920x1080;
Технология IPS, LED-подсветка
Сенсорный ввод Сенсорный экран N-trig DuoSense:
Управление пальцем с поддержкой мультисенсорных жестов (емкостный сенсорный экран);
Управление пером с чувствительностью к силе нажатия (256 градаций)
Процессор Intel Core i5-3317U: 1,7 ГГц (до 2,6 ГГц в режиме Turbo Boost); 2x256 Кбайт L2; 3 Мбайт L3; два вычислительных ядра; TDP 17 Вт
Графика Intel HD 4000, встроен в процессор
Набор микросхем Intel HM76
Оперативная память 4 Гбайт, DDR3L
Жесткий диск SSD 128 Гбайт (Toshiba THNSNS128GMCP), форм-фактор mSATA
Оптический привод -
Разъем флеш-карт SD/MS HG Duo
Интерфейсы 2 х USB 3.0
1 x HDMI
1 x VGA (D-Sub)
1 x RJ-45
1 x выход на наушники (mini-jack 3,5 мм)
3G -
Wi-Fi 802.11a/b/g/n, 2x2, 2,4/5 ГГц (Intel Centrino Advanced-N 6235AGN)
Bluetooth 4.0 (Intel Centrino Advanced-N 6235)
NFC +
Сетевой адаптер 10/100/1000 Мбит/с (Realtek RTL8168/8111)
Звук Два динамика, микрофон
Батарея Несъемная батарея из четырех плоских элементов питания
Емкость 37 Вт*ч (4960 мА*ч; 7,4 В)
Возможность подключения второй батареи (на днище)
Блок питания 45 Вт (10,5 В; 4,3 А)
Заявленные размеры 320x199x18 мм
Заявленная масса 1,3 кг
Прочее Подсветка клавиатуры, акселерометр, две камеры
Операционная система Windows 8 (64 bit)
Рекомендованная цена От 49 990 руб. с процессором Core i3
От 56 990 руб. с процессором Core i5
От 79 990 руб. с процессором Core i7

# Тестирование: дисплей

В VAIO DUO 11 установлена 11,6-дюймовая матрица с разрешением 1920x1080 точек. Столь высокое разрешение для матрицы небольшого размера может показаться избыточным. Несмотря на то, что по сравнению с Windows 7 ситуация заметно улучшилась, с масштабированием в Windows 8 все еще имеются проблемы. Так что следует до покупки узнать, сможете ли вы работать с таким «мелкопиксельным» экраном.

Дисплей, разумеется, сенсорный и поддерживает множественные нажатия. Кроме того, возможно управление с помощью пера с чувствительностью к силе нажатия — поддерживается до 256 градаций. Использовано перо от компании N-trig — в отличие от Wacom’овских, оно нуждается в периодической замене источника питания: одной батарейки AAAA/LR61 при использовании по 4 часа в день должно хватать на 8 месяцев.

IPS-матрица гарантирует внушительные углы обзора, да и в целом картинка на ней очень качественная. При максимальном уровне подсветки светимость белого поля составляет 418,1 кд/м2, а черного поля — 0,61 кд/м2. Таким образом, контрастность равна 485:1. Это, конечно, далеко не рекорд, но является весьма достойным результатом. Стоит отметить, что минимальный уровень подсветки у тестируемого ноутбука сравнительно высок — 25 кд/м2 (хотя бывает и выше).

Равномерность яркости при уровне подсветки 100% и 50%

Цветовой охват дисплея составляет 74% от sRGB или 57% от AdobeRGB. Это не особенно много по меркам действительно качественных дисплеев. Впрочем, в ноутбуках это весьма распространенная ситуация — скажем, ещё один «гибрид», Dell XPS 12, также оборудованный IPS-матрицей, показал ещё менее впечатляющий результат — 71% и 53% соответственно.

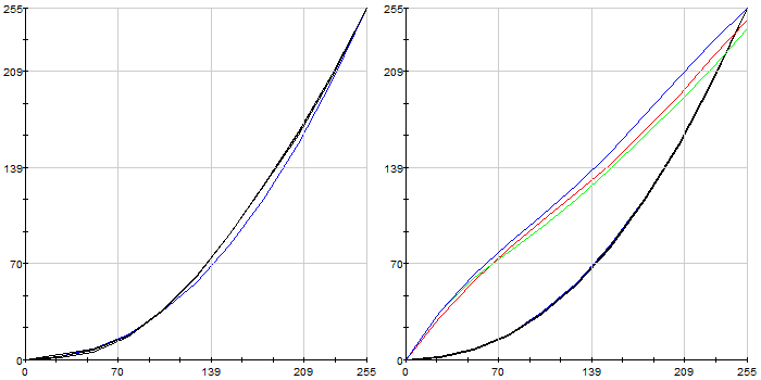
График цветового охвата в системе Lab. Зеленая линия — цветовой охват дисплея Sony VAIO T13 Touch; белая — стандартное цветовое пространство sRGB

На иллюстрациях, приведённых ниже, изображены гамма-кривые (чёрные графики), полученные до и после калибровки дисплея, целевая гамма 2,2 (светло-синий график) и коррекция для каждого цвета (красный, синий, зелёный). Отклонения минимальны, поэтому цвета отображаются вполне корректно даже без аппаратной калибровки — хотя с ней, конечно, будет лучше.

Цветовая температура градаций серого на большей части градиента сравнительно стабильна — колеблется в довольно узком диапазоне от 6 050 до 6 800 K. Мы привыкли, что изображение на дисплеях ноутбуков «холоднее» эталона, в данном же случае оно даже чуть «теплее» нужного. Впрочем, это все равно хорошие результаты, а идеала можно добиться с помощью калибровки.

Добавим к этому результаты измерения равномерности цветопередачи при яркости подсветки 50 и 100%.

Равномерность цветопередачи при уровне подсветки 100% и 50%

Дельта Е по большинству оттенков превышает граничное значение — 3, до которого человеческий глаз не способен уловить различие, а по некоторым оттенкам и вовсе достигает 7, что является весьма неожиданным результатом для неплохой IPS-матрицы.

Несмотря на несколько смазанную концовку, следует констатировать, что дисплей весьма неплох — по крайней мере обычные пользователи не найдут в нем изъяна. Однако для тех, кто профессионально работает с графикой, — а если подумать, это немалая часть потенциальных покупателей VAIO DUO 11, — сдерживающими факторами могут стать проблемы с цветопередачей: недостаточно широкий цветовой охват, серьезные отклонения в точности передачи оттенков и довольно высокая неравномерность.

# Тестирование: звуковая подсистема

Крохотные динамики VAIO DUO 11 размером даже меньше, чем те, которые используют в хороших наушниках. Такие «скриперы» априори не могут звучать по-настоящему качественно и громко, поэтому мы совершенно не ожидали от них каких-то откровений. Но всё же динамики приятно удивили, их вполне можно использовать для фонового прослушивания музыки. Конечно, максимальный уровень громкости невысок, а басов нет вовсе, но высокочастотный диапазон прослушивается весьма неплохо, детализация звука вполне достойная, да и каких-либо явных дефектов звучания нет.

В «гибриде» предустановлены программные надстройки Dolby Home Theater и Sony xLOUD. От первой толк есть только при просмотре фильмов с насыщенной аудиодорожкой либо при прохождении игр — разумеется, при активации соответствующих пресетов. А вот для прослушивания музыки через встроенные динамики лучше воспользоваться исключительно функцией Sony xLOUD, благодаря которой немного повышается уровень громкости и слегка задирается ВЧ-диапазон. Конечно же при подключении качественных наушников или внешней акустической системы «улучшайзеры» надо не забыть отключить — они заточены именно под микроскопические встроенные динамики и с нормальной акустикой могут испортить звук.

Тестирование аудиотракта проводилось при помощи пакета RMAA и звукового интерфейса Creative E-MU 0202 USB. Режим работы: 16-бит, 44 кГц.

Общие результаты
Неравномерность АЧХ (в диапазоне 40 Гц — 15 кГц), дБ +0,01, -0,07 Отлично
Уровень шума, дБ (А) -92,9 Очень хорошо
Динамический диапазон, дБ (А) 93,1 Очень хорошо
Гармонические искажения, % 0,0072 Очень хорошо
Гармонические искажения + шум, дБ(A) -79,0 Средне
Интермодуляционные искажения + шум, % 0,011 Очень хорошо
Взаимопроникновение каналов, дБ -89,9 Отлично
Интермодуляции на 10 кГц, % 0,011 Очень хорошо
Общая оценка Очень хорошо
Частотная характеристика
От 20 Гц до 20 кГц, дБ -0,70, +0,01
От 40 Гц до 15 кГц, дБ -0,07, +0,01
Уровень шума

Левый Правый
Мощность RMS, дБ -91,7 -91,7
Мощность RMS, дБ (A) -92,9 -92,9
Пиковый уровень, дБ -80,0 -77,7
Смещение DC, % -0,0 -0,0

Отключение внешнего питания и беспроводной сети, нередко влияющих на качество звука на аналоговом аудиовыходе, в данном случае не улучшило результаты тестов. Конечно, итоговую оценку «очень хорошо» можно причислить к плюсам ноутбука, но всё же хотелось бы, чтобы столь недешёвое устройство звучало качественнее.

# Тестирование: уровень шума и тепловой режим

Как и во многих других сверхтонких ноутбуках, охлаждающая система DUO 11 в режиме простоя и при невысоких нагрузках активна, но услышать это можно, только приложив ухо к вентиляционной решётке, — даже в тихом помещении шум вентилятора практически незаметен. Но уже при средних нагрузках скорость вращения крыльчатки (а вместе с ней — и уровень шума) сразу же начинает увеличиваться.

Выделить определённые ступеньки изменения нельзя, скорость вращения вентилятора изменяется чрезвычайно плавно. Максимальный уровень шума при схожих условиях тестирования достигается гораздо раньше, чем у большинства ультрабуков, но всё же он далеко не самый высокий — 38,3 дБА.

Замер уровня нагрева производится при комнатной температуре (+21 градус Цельсия) для 9 точек днища и рабочей области. После часового циклического запуска пакета 3DMark 2006 температура рабочей области в зависимости от точки измерения составила 26–36 градусов Цельсия, а днища — 27–40 градусов.

# Тестирование: производительность

В качестве оппонента был взят 12,5-дюймовый трансформер Dell XPS 12 с оригинальной схемой превращения в планшет. Этот ноутбук оборудован схожим процессором Intel Core i5-3427U, интегрированной графикой и SSD ёмкостью 128 Гбайт.


Sony DUO 11 (SVD1121X9R) Dell XPS 12 Convertible Ultrabook
PCMark05 10340 8787
CPU 7892 7505
Memory 7040 6189
Graphics 2611 2634
HDD 61049 40669
PCMark 7 Sony DUO 11 (SVD1121X9R) Dell XPS 12 Convertible Ultrabook
PCMark Score 4676 4802
Lightweight 3025 3260
Productivity 2104 2341
Creativity 9399 9276
Entertainment 3217 3409
Computation 15480 16882
System storage 5367 5115
3DMark 2006 Sony DUO 11 (SVD1121X9R) Dell XPS 12 Convertible Ultrabook
3DMark Score, 3DMarks 5020 4565
GT1 — Return To Proxycon, FPS 13,390 12,154
GT2 — Firefly Forest, FPS 14,369 12,290
CPU Score, CPUMarks 3036 3258
CPU Test 1, FPS 0,971 1,047
CPU Test 2, FPS 1,518 1,621

К сожалению, в 3DMark 2013 тестирование Dell XPS 12 Convertible Ultrabook не проводилось, поэтому в приведённой ниже таблице указаны лишь результаты героя материала.

3DMark 2013 Score Graphics Score Physics Score
Ice Storm 32649 34743 26964
Cloud Gate 3689 4418 2339
Fire Strike 516 563 3199

# Тестирование: время автономной работы

Как и все настолько тонкие устройства, «гибрид» Sony VAIO DUO 11 оборудован несъемным аккумулятором, построенным на плоских элементах питания. Суммарная емкость батареи составляет около 37 Вт*ч. Нетипичной особенностью данной модели является возможность подключения дополнительного аккумулятора, который крепится на днище, — к сожалению, на тестирование ноутбук попал без второй батарейки.

Во многих тестах ноутбуки идут ноздря в ноздрю, но при минимальной яркости подсветки, уровень которой у оппонента несколько ниже, чем у героя материала, Dell XPS 12 вырывается вперёд. В целом длительность автономной работы вполне предсказуемая.

# Вывод

Всё-таки в Sony дали весьма точное название устройству — гибридный ноутбук. Ведь VAIO DUO 11 — действительно не совсем то, что принято понимать под трансформерами. Для того чтобы пользоваться сенсорным экраном, вовсе не обязательно складывать его в «полный планшет». Совсем нет: благодаря надежной фиксации дисплея в раскрытом состоянии, можно работать одновременно и с тачскрином, и с клавиатурой.

Впрочем, у применённой конструкции слайдера есть не только достоинства, но и недостатки, среди которых главный — это уменьшение полезной площади рабочей области. Из-за этого конструкторы были вынуждены пойти на ухищрения. Например, вместо сенсорной панели использовали маленький оптический манипулятор, как в малютках серии VAIO P. Клавиатура в итоге тоже получилась совсем не такой просторной, как того можно было ожидать от 11-дюймового ноутбука. Кроме того, масса устройства достаточно высока: 1,3 килограмма — если использовать VAIO DUO 11 именно как планшет, то руки быстро устанут.

Дисплей ноутбука может впечатлить заявленными характеристиками, ведь у него действительно большие углы обзора, приличный запас яркости и высокая контрастность. Но есть проблемы с цветопередачей. Поэтому, несмотря на наличие очень соблазнительной штуки — перьевого дигитайзера, фотографы и дизайнеры, вероятно, все же предпочтут держаться привычных «айпадов» и «макбуков», дисплеи которых настроены гораздо лучше.

В остальном ноутбук VAIO DUO 11 хорош, ведь у него есть пусть и уменьшенная, но качественная клавиатура с подсветкой; он достаточно тихий, да и алгоритм работы кулера весьма неплох; производительность и длительность автономной работы тоже порадовали. Цена устройства кусается, как это нередко бывает с топовыми моделями Sony. Базовая конфигурация с Intel Core i3, согласно рекомендованной цене, вытянет из кошелька 49 990 рублей, протестированная модификация — 56 990 рублей. А максимально «нафаршированная» версия на Core i7 с 256-гигабайтным SSD обойдется в совсем уж космические 79 990 рублей.

Редакция 3DNews благодарит компанию «Графитек» за предоставленный в распоряжение нашей лаборатории измерительный комплекс Spyder4Elite и украинское представительство Sony за предоставленный ноутбук VAIO DUO 11.

 
 
⇣ Содержание
Если Вы заметили ошибку — выделите ее мышью и нажмите CTRL+ENTER.

window-new
Soft
Hard
Тренды 🔥
Mozilla вложит $1,4 млрд в «альянс бунтовщиков» по созданию открытого ИИ в противовес OpenAI 11 мин.
Эксперты CD Projekt Red следили за соответствием Reigns: The Witcher канону франшизы — никаких «орд зомби-ведьмаков» 19 мин.
Не просто шутер, а симулятор Иуды: создатель BioShock объяснил, чем Judas отличается от других игр 34 мин.
OpenAI представила Prism — бесплатный ИИ-сервис для серьёзных научных исследований на базе GPT-5.2 2 ч.
Китайская Moonshot AI выпустила открытую ИИ-модель Kimi K2.5 и в тестах она лучше Gemini 3 Pro и GPT-5.2 2 ч.
Китайские кибершпионы взломали смартфоны помощников британских премьер-министров 2 ч.
В открытый доступ попала закрытая презентация отменённого ремейка Prince of Persia: The Sands of Time — Ubisoft безуспешно борется с утечкой 2 ч.
«Кто сильнее, тот и прав»: новый геймплейный трейлер Warhammer 40,000: Dawn of War 4 показал, как воюют орки 5 ч.
Реклама в ChatGPT может оказаться втрое дороже, чем в соцсетях Meta — и без подробной статистики 9 ч.
Роскомнадзор снова против аниме: заблокирован сайт аниме-энциклопедии Shikimori 14 ч.
Король HBM: SK hynix отчиталась о рекордной прибыли и обогнала Samsung, но последняя готовит контратаку 3 мин.
Zotac заявила, что дефицит памяти угрожает «самому существованию» производителей видеокарт 13 мин.
ИИ-бум раздул заказы ASML двое шире ожиданий — но от массовых сокращений это не уберегло 24 мин.
Европа запустила первые спутники своей суверенной альтернативы Starlink 43 мин.
SpaceX приурочит выход на биржу к параду планет и дню рождения Илона Маска, но это не точно 49 мин.
Цены на модули DDR5 показали первые признаки стабилизация в США, но до снижения ещё далеко 50 мин.
Видео: самолёт-лаборатория NASA аварийно сел «на брюхо» — с искрами и пламенем, но без жертв 2 ч.
Цена бренда Tesla рухнула сразу на 36 % за прошлый год — в основном из-за политических экспериментов Маска 4 ч.
Дата-центр вместо ЖК: под Парижем построят ЦОД, который будет выращивать помидоры и разводить рыбу 5 ч.
Anthropic удалось привлечь в рамках недавнего раунда финансирования более $10 млрд 5 ч.